Предмет: Алгебра,
автор: Sebastian111
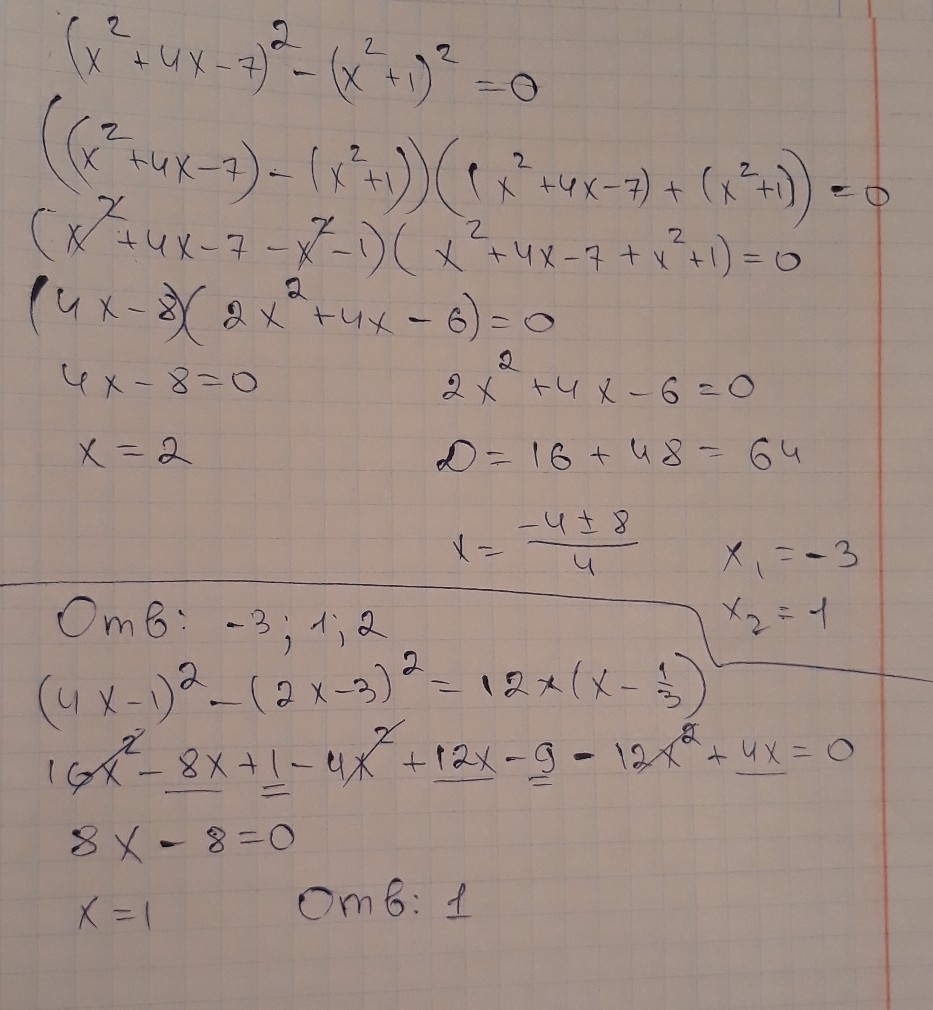
(х²+4х-7)²-(х²+1)²=0
(4х-1)²-(2х-3)²=12х(х-1/3)
Решитеуравнения,пожалуйста.
Ответы
Автор ответа:
0
ршение и ответ на фото
Приложения:
Похожие вопросы
Предмет: Українська мова,
автор: fullhoglen
Предмет: Литература,
автор: please5ansver
Предмет: Математика,
автор: Cartochka
Предмет: Математика,
автор: chornaimolnia
Предмет: Математика,
автор: Shtifffangel