Предмет: Алгебра,
автор: олеся791
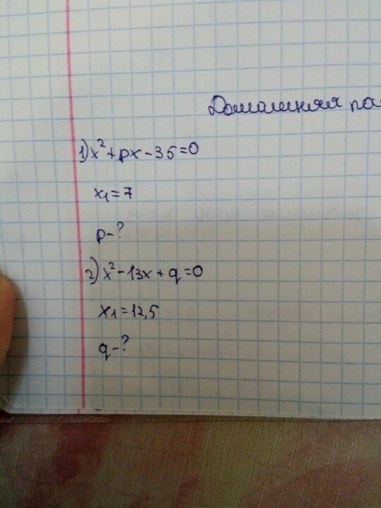
помогите как решить не знаю
Приложения:
Ответы
Автор ответа:
0
А Вам бы разобрать теорему Виета!!!!!!!!!!!
Если есть квадратное уравнение вида:

для которого выполняется условие:
- условие на дискриминант, на существование решений у указанного выше квадратного уравнения,
то выполняется следующее:
,
где
- решения указанного выше квадратного уравнения
По сути, это и есть теорема Виета.
------------------------------------------
Используем же её!
1)
Осталось проверить, условие существования корней (до этого мы лишь предполагали, что они существуют, что дискриминант нашего квадратного уравнения не отрицателен):

Итого все ОК
Наше уравнение:

И его решения:
и 
----------------------------------

Осталось проверить, условие существования корней (до этого мы лишь предполагали, что они существуют, что дискриминант нашего квадратного уравнения не отрицателен):

Итого все ОК
Наше уравнение:

И его решения:
и 
Если есть квадратное уравнение вида:
для которого выполняется условие:
то выполняется следующее:
где
По сути, это и есть теорема Виета.
------------------------------------------
Используем же её!
1)
Осталось проверить, условие существования корней (до этого мы лишь предполагали, что они существуют, что дискриминант нашего квадратного уравнения не отрицателен):
Итого все ОК
Наше уравнение:
И его решения:
----------------------------------
Осталось проверить, условие существования корней (до этого мы лишь предполагали, что они существуют, что дискриминант нашего квадратного уравнения не отрицателен):
Итого все ОК
Наше уравнение:
И его решения:
Автор ответа:
0
фотография
Автор ответа:
0
оловина
Автор ответа:
0
е нету
Автор ответа:
0
в первом p=-2
Автор ответа:
0
и q=6.25 во втором
Похожие вопросы
Предмет: Музыка,
автор: milenaafanasieva65
Предмет: Геометрия,
автор: suslick2020
Предмет: Биология,
автор: tv1ks
Предмет: Математика,
автор: сенька8
Предмет: Математика,
автор: abdulmenovilgi