Предмет: Математика,
автор: Dalokosh1
Помогите решить задание по математике
Приложения:
Ответы
Автор ответа:
0
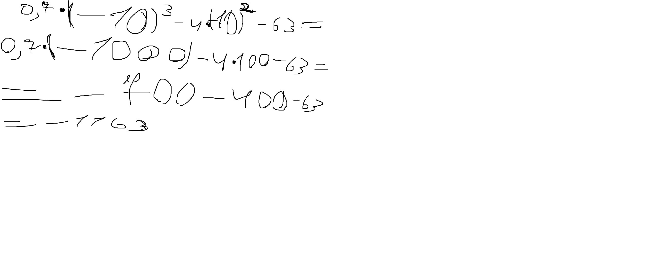
Вроде бы так.Извини за мою корявость( я про цифры ).
Приложения:
Похожие вопросы
Предмет: Английский язык,
автор: nuraibet1979
Предмет: Физика,
автор: denmoroz8
Предмет: Физика,
автор: gurbanovapolina60
Предмет: Литература,
автор: vanek20010528
Предмет: Математика,
автор: МилешкаМи