Предмет: Алгебра,
автор: КаЗяВкА1000
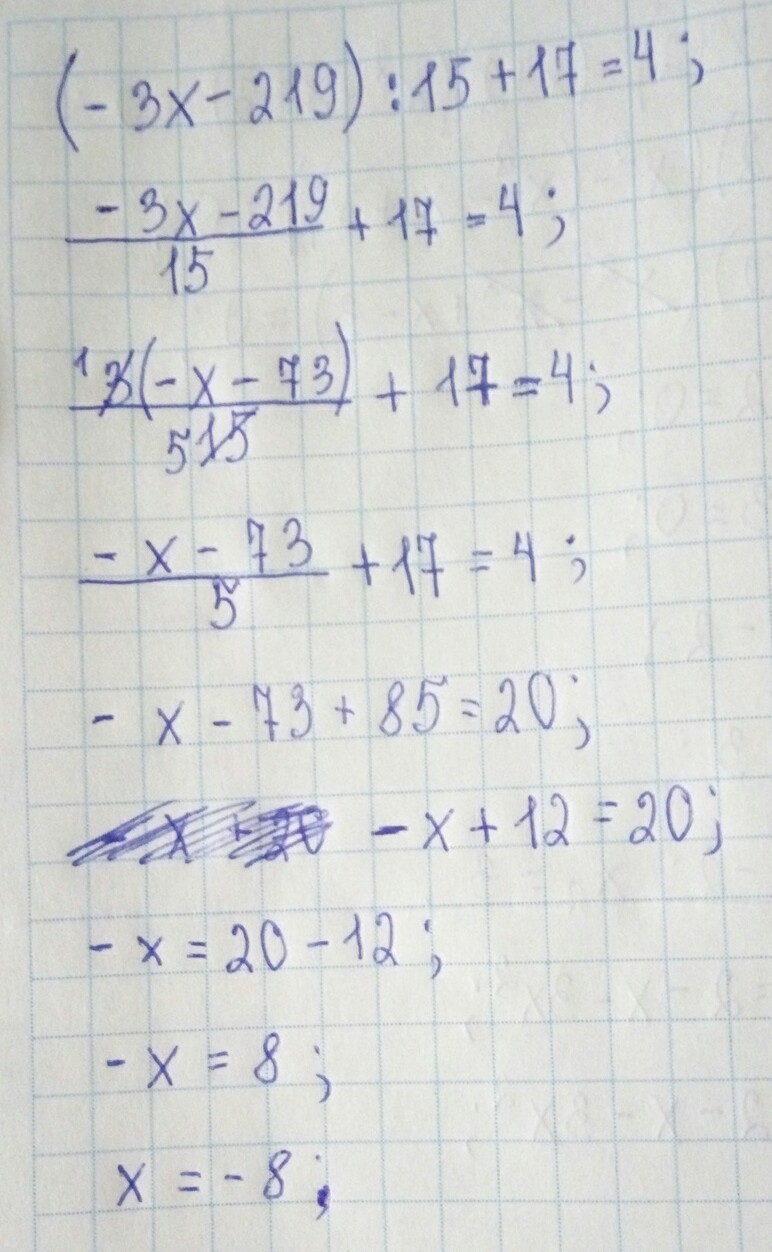
Решите уравнение-
(-3x-219)/15+17=4
Ответы
Автор ответа:
0
надеюсь там все правильно написано, я старалась
Приложения:
Похожие вопросы
Предмет: Қазақ тiлi,
автор: evgenia26012011
Предмет: Русский язык,
автор: nargizka64
Предмет: История,
автор: Ksjdjdkdm
Предмет: Математика,
автор: nora867