Предмет: Математика,
автор: 27829крис917
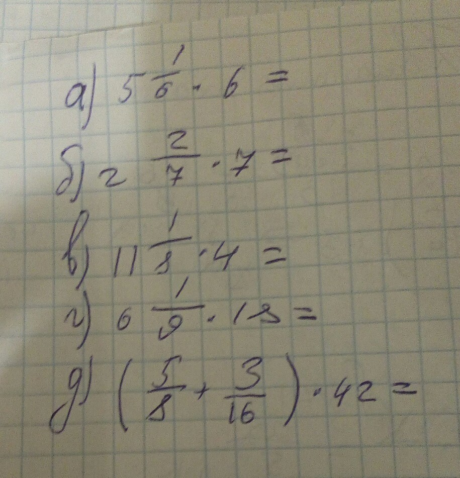
решите пж распределительным свойством умнажением
Приложения:
Ответы
Автор ответа:
0
Переведи в неправильные дроби и решай
Похожие вопросы
Предмет: Английский язык,
автор: Findash
Предмет: Қазақ тiлi,
автор: obezankadianka5
Предмет: Биология,
автор: turgazinovaguldana
Предмет: Биология,
автор: Syhjqp