Предмет: Алгебра,
автор: DEVUS
под квадратными скобками то есть - [ ]
Приложения:
Ответы
Автор ответа:
0
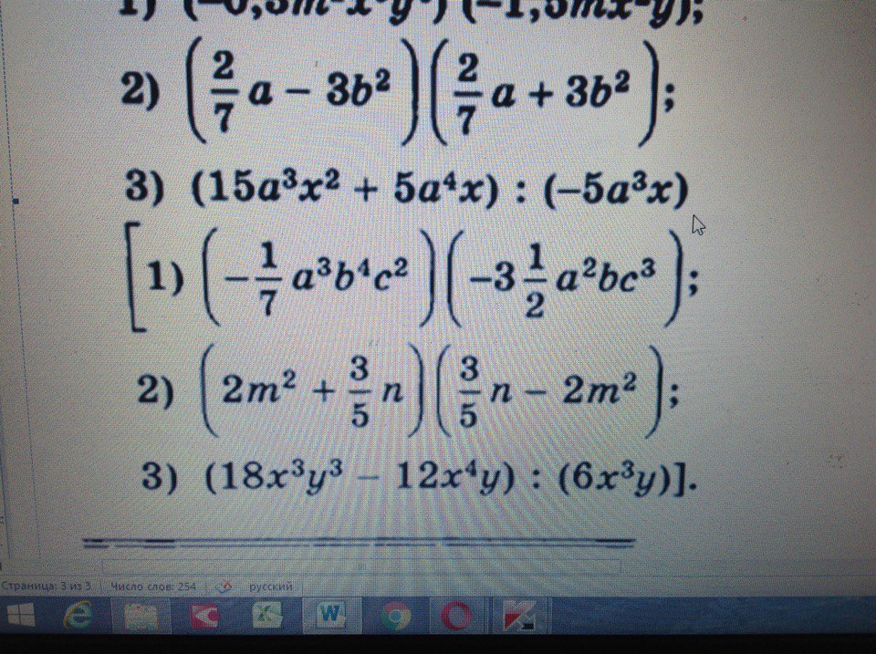
решение смотри на фотографии
Приложения:
Автор ответа:
0
А 2 и 3? С можешь решить пожалуйста?
Автор ответа:
0
Сейчас. Пару минут.
Автор ответа:
0
Заранее, спасибо
Автор ответа:
0
Я добавила фотографию с решением 2 и 3
Похожие вопросы
Предмет: Физика,
автор: gleberusalimsky
Предмет: Музыка,
автор: mkopeev
Предмет: Алгебра,
автор: dianaanvarova52
Предмет: Литература,
автор: никита702