Предмет: Алгебра,
автор: здарованачальник
Помогите с решением
Ответы
Автор ответа:
0
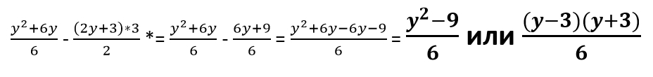
РЕШЕНИЕ ВЫРАЖЕНИЯ ПРИКРЕПЛЯЮ.
Приложения:
Похожие вопросы
Предмет: История,
автор: vikastebo
Предмет: История,
автор: nikandrovastec1989
Предмет: Английский язык,
автор: yarikyarok10
Предмет: Математика,
автор: ислам2011