Предмет: Алгебра,
автор: Ilya76
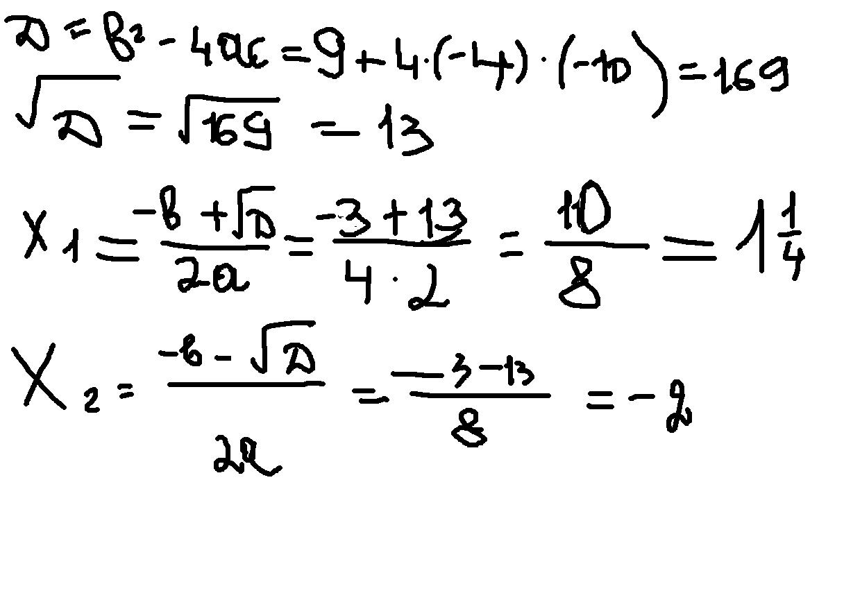
4х^2 + 3х -10 = 0
Ответы
Автор ответа:
0
Это стандартное квадратное уравнение, поэтому решать его надо по такому принципу:
Приложения:
Похожие вопросы
Предмет: Биология,
автор: tanyatyan1602
Предмет: Физика,
автор: varyaL12
Предмет: Русский язык,
автор: maksvogorovskiy06
Предмет: Химия,
автор: ученица31
Предмет: Математика,
автор: дима335