Предмет: Математика,
автор: Hikary134
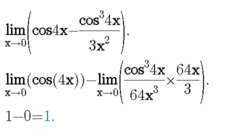
Нужна помощь в нахождении предела функции (cos4x-cos^3(*4x))/(3*x^2), x стремиться к 0, нужен подробный ответ
Ответы
Автор ответа:
0
смотри на фото.........
Приложения:
Похожие вопросы
Предмет: Русский язык,
автор: zlataalpatova
Предмет: Математика,
автор: salihovaregina19
Предмет: Физика,
автор: fvolyhin
Предмет: Математика,
автор: Аноним
Предмет: Математика,
автор: dinasultandd