Предмет: Алгебра,
автор: nikbrodich

помогите решить срочно
Приложения:
Ответы
Автор ответа:
0
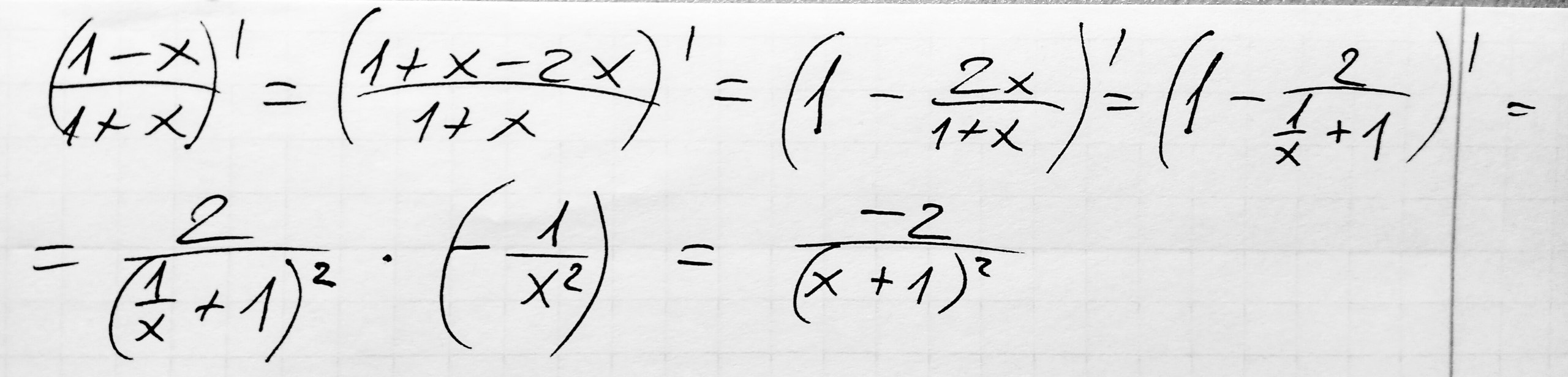
Решение прикреплено. Немного не сходится с вольфрамом, подогнал.
Приложения:
Похожие вопросы
Предмет: Українська література,
автор: gaivoronskaiakatiush
Предмет: Литература,
автор: yasina89
Предмет: Математика,
автор: Аноним
Предмет: Геометрия,
автор: nastiuska1