Предмет: Алгебра,
автор: elimia229
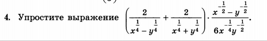
умоляю помогите !!!!!!
на листке решите и мне в лс киньте или сюда
Приложения:
Ответы
Автор ответа:
0
Решение смотри на фото
Приложения:
Похожие вопросы
Предмет: Биология,
автор: sasavitkova7489
Предмет: Алгебра,
автор: GrigGan
Предмет: Физкультура и спорт,
автор: danikru568
Предмет: Математика,
автор: viktoriyasamoy