Предмет: Алгебра,
автор: elimia229
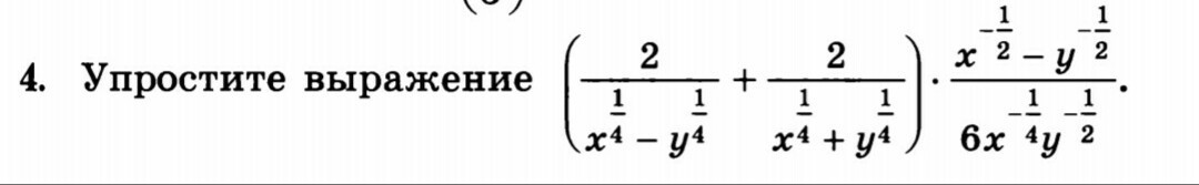
РЕШИТЕ НА ЛИСТКЕ ЭТО ЗАДАНИЕ !!!
Приложения:
Ответы
Автор ответа:
0
Решение смотри на фото
Приложения:
Похожие вопросы
Предмет: Литература,
автор: Аноним
Предмет: Литература,
автор: Аноним
Предмет: Биология,
автор: higuvhvhvhhvvh
Предмет: Геометрия,
автор: bymylove
Предмет: История,
автор: 523452m