Предмет: Алгебра,
автор: KOJIOCOK
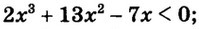
Методом интервалов решить неравенство на фото
Приложения:
Ответы
Автор ответа:
0
Решение задания приложено
Приложения:
Автор ответа:
0
помоги https://znanija.com/task/26742249
Автор ответа:
0
ПОЖАЛУЙСТА
Похожие вопросы
Предмет: Английский язык,
автор: Аноним
Предмет: История,
автор: msmss
Предмет: Английский язык,
автор: Аноним
Предмет: Математика,
автор: svetlanakozel1