Предмет: Физика,
автор: KсюшаУмная
Пешеход прошёл 45 м со скоростью 5.4 км/ч.Определите время его движения. (И если можно ,то лучше писать ,как формула,типо V1= и тд и т.п)
Ответы
Автор ответа:
1
смотри решение внизу
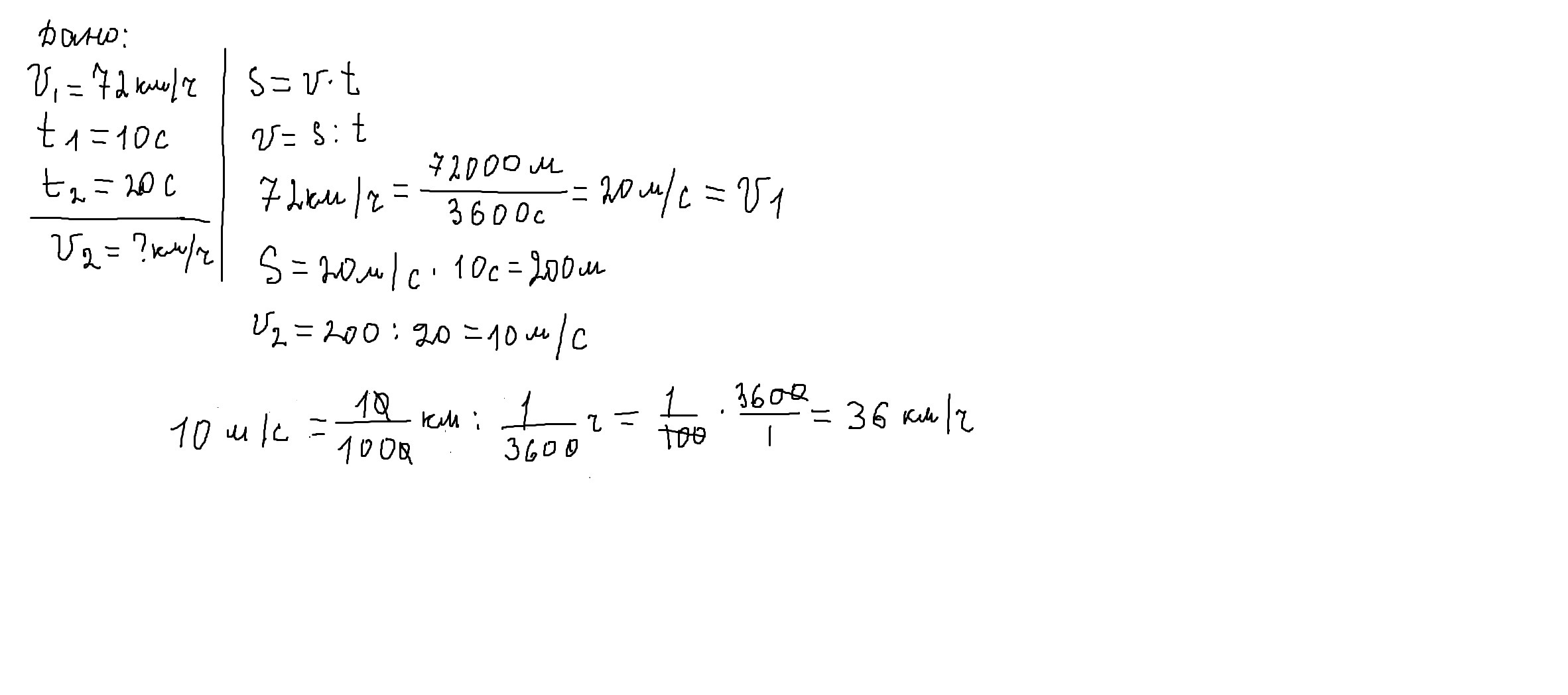
скорость 1 автомобиля на этом пути 36 км\ч,можно было решить немного по другому.Раз времени он затратил в 2 раза больше,20:10=2 ,то и скорость у него была в 2 раза меньше ,чем у первого ,надо 72:2=36 км\ч
скорость 1 автомобиля на этом пути 36 км\ч,можно было решить немного по другому.Раз времени он затратил в 2 раза больше,20:10=2 ,то и скорость у него была в 2 раза меньше ,чем у первого ,надо 72:2=36 км\ч
Приложения:
KсюшаУмная:
а можешь ещё подалуйста одну решить?
пожалуйста*
если смогу,то решу.я в физике не сильна.просто это математическая задача была.
Один автомобиль 10 с двигался со скоростью 72 км/ч ,а второй проехал тот же участок пути за 20 сек.Какова скорость второго автомобиля на этом пути?
решение второй задачи добавила
Похожие вопросы
Предмет: Математика,
автор: kucybasona
Предмет: Биология,
автор: sashavlasko
Предмет: Литература,
автор: alinaivashko78
Предмет: Физика,
автор: gafurz63
Предмет: Биология,
автор: sashasolodnikov2222