Предмет: Математика, автор: ycidenis1

нужно упростить выражение

Приложения:

Ответы

Автор ответа: Аноним
0
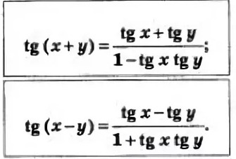
Формула тангенса разности. По ней получается: tg(7a-3a) = tg(4a)
Приложения:
Автор ответа: ycidenis1
0
спасибо
Похожие вопросы
Предмет: Қазақ тiлi, автор: kusbaevdoi
Бір түлкі жүгіріп келе жатып, абайсызда бiр терең апанга түсіп кетіпті. Шыға алмай турганда бар ешкі су іздеп жүріп, әлгi апанга кез болып, тулкiнi кереді.







Пж пжпж дайте пожалуйста быстро ответ у меня сор

- Ей, гулкi батыр, не кылып курсын? депті


-Ой, не кыласын жаным жай тауып тұр. Кырда әрi сусап, әрі ыстыклап елiп едiм. Апаннын ш


әрі салқын әрі түбінде туп тұнық суы бар екен. депти тулка


Муны естіп ешкі: «Мен де салкынлайын, әрі су шпейшн», - деп ойлап, секiрiп апанга тусіпті. Сонда гулкі секіріп ешкінің уст не м н онан муй зiне табан тірепті де, ыргып далаға шығып, жөніне


«Өтірікке алланба, басын бәлеге душар болар» деген сез осыдан калыпты.


2-тапсырма Мәтіндегі кейіпкерлер мен олардың әрекетін ( ) аркылы сәйкестендіріңіз


Кейіпкер


Тулка


Ешкі


Әрекеттері


Салкындап, су imkici келедi


Алданып калалы


Абайсызда оıp терен апанга


тусiп кетіпГI


Өтірік айтады
Предмет: Химия, автор: denisbg