Предмет: Физика,
автор: malishkoartem21
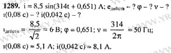
Действительное значение тока в цепи переменного тока стандартной частоты равно 2 А. каково апмлитудное значение тока? напишите уравнение зависимости тока от времени, если начальная фаза равна нулю. в какие моменты времени(в течении одного периода) мгновенное значение тока равно половине действующего?
Ответы
Автор ответа:
0
..............................................
Приложения:
Автор ответа:
0
скинь ссылочку на готовое дз
Похожие вопросы
Предмет: Биология,
автор: GeniKeni
Предмет: Химия,
автор: daralarionova930
Предмет: Биология,
автор: ivannovosiletskiy
Предмет: Алгебра,
автор: garifullinaadi
Предмет: Математика,
автор: наитири