Предмет: Алгебра,
автор: katea001
помогите пожалуйста ,очень нужно
Приложения:
Ответы
Автор ответа:
0
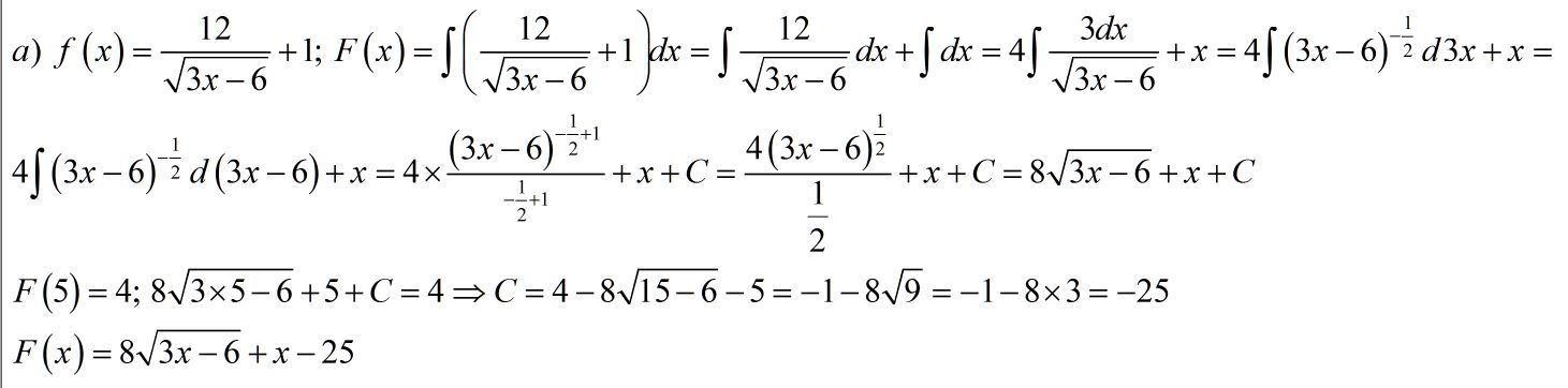
.......................................................................................
Приложения:
Похожие вопросы
Предмет: Английский язык,
автор: lolga567
Предмет: Математика,
автор: nursultan121010
Предмет: Физика,
автор: ulianavorman2006
Предмет: Математика,
автор: Эллина609
Предмет: Алгебра,
автор: glushenko39