Предмет: Математика,
автор: dreytes
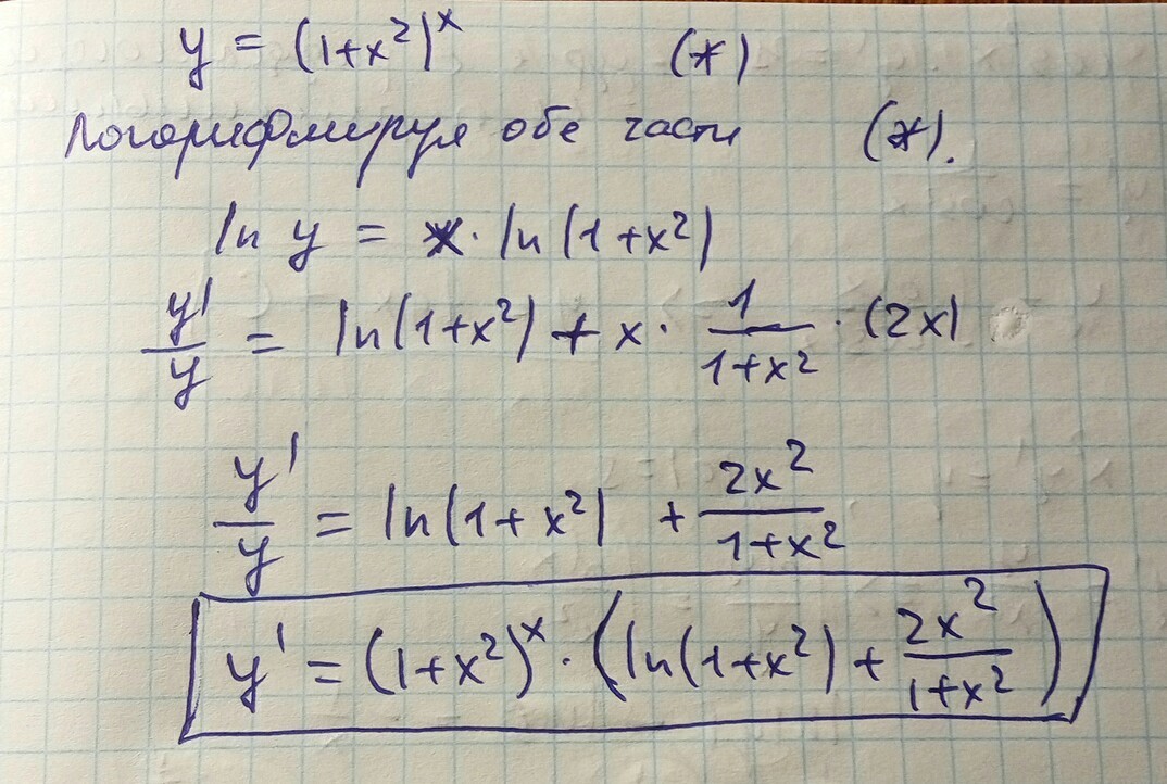
(1+x^2)^x производная
Ответы
Автор ответа:
0
Готово....................
Приложения:
Автор ответа:
0
спасибо
Похожие вопросы
Предмет: Геометрия,
автор: arrestma
Предмет: Қазақ тiлi,
автор: Аноним
Предмет: Математика,
автор: swaggyhoe
Предмет: Алгебра,
автор: dianakaryaeva
Предмет: Математика,
автор: lzubarenko34