Предмет: Информатика, автор: Kepka229

Записать математическое выражение на языке Паскаль.

Приложения:

Ответы

Автор ответа: Giammy
0
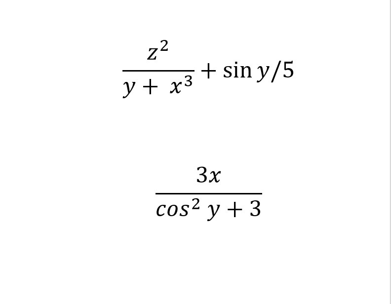
1) sqr(z)/(y+sqr(x)*x)+sin(y/5)=

2) 3x/(sqr(cos(y))+3)=

Похожие вопросы
Предмет: Алгебра, автор: Аноним
Предмет: Алгебра, автор: boryaserov