Предмет: Математика,
автор: nekitder
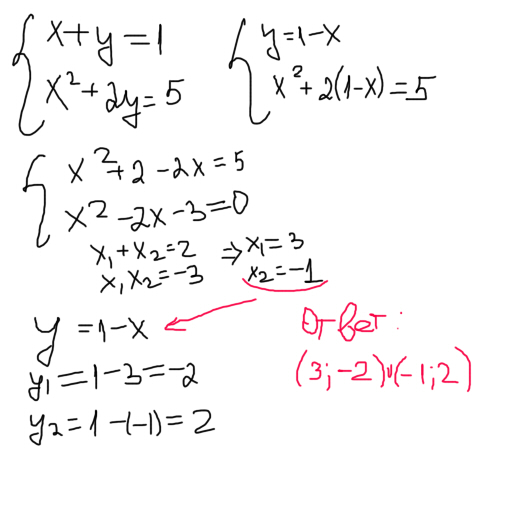
системы уравнений
x+y=1
x^2+2y=5
Ответы
Автор ответа:
0
Надеюсь поймёшь мой почерк
Приложения:
Автор ответа:
0
Все решение на картинке
Приложения:
Похожие вопросы
Предмет: Математика,
автор: tleumagambet
Предмет: Геометрия,
автор: nadehdapanfilova63
Предмет: Математика,
автор: VaskinaAlisa124
Предмет: Литература,
автор: Леруся423