Предмет: Алгебра,
автор: MstyanKristina
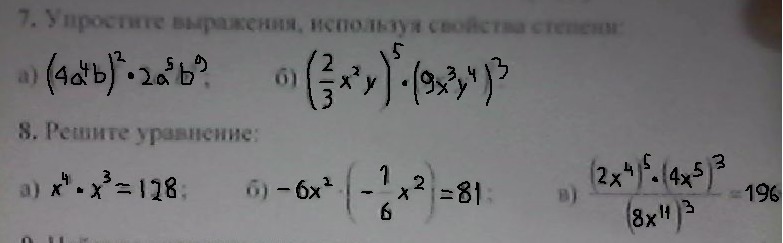
Решите пожалуйста ! немного редактировала надеюсь видно !) решите все пожалуйста ! даю 20 балов !!
Приложения:
Ответы
Автор ответа:
0
ну смотри, в первой скобке каждое число или букву возводишь в нужную степень то есть 4 во вторую степень,потом а^4 во вторую степень ,при умножении степень на степень цифры перемножаются , то есть будет а в степtни 4*2 =а^8 b и остаётся b ,b тоже в квадрат,получаем 16a^8b^2 дальше мы это умножаем на 2 a^5b^9,действуем так : 16*2=32
a^8 на a^5= a и тут степени уже не перемножаются как в случае со скобками , а складываются то есть 8+5=13 ,получаем a^13 ,теперь b ,b^2*b^9=b^11
a^8 на a^5= a и тут степени уже не перемножаются как в случае со скобками , а складываются то есть 8+5=13 ,получаем a^13 ,теперь b ,b^2*b^9=b^11
Приложения:
Автор ответа:
0
а можно уж ответ написать
Автор ответа:
0
???
Автор ответа:
0
так проще, смотри)
Автор ответа:
0
ну я не понимаю
Автор ответа:
0
поняла только что если степень в скопках её умножить надо
Похожие вопросы
Предмет: Математика,
автор: BogdanShulun0v
Предмет: Физика,
автор: vadabitukov597
Предмет: Математика,
автор: abdusakirovasakira
Предмет: Биология,
автор: 89675