Предмет: Алгебра,
автор: Аноним
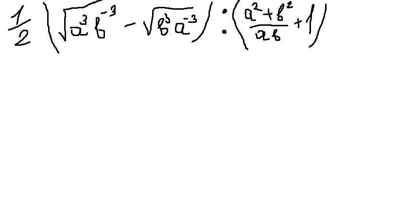
реят срочняком решить фоткой скиньте решение очень надо
Приложения:
Ответы
Автор ответа:
0
а у меня не получается фотку поставить сайт пишет об ошибке, сейчас попробую ещё раз
Приложения:
Автор ответа:
0
да, но дальше некуда упрощать
Автор ответа:
0
как исправить фотку?
Похожие вопросы
Предмет: История,
автор: Neriona
Предмет: Английский язык,
автор: glebnikolaev137
Предмет: Химия,
автор: oksanalitvin81
Предмет: Математика,
автор: ELIZAVTA