Предмет: Математика,
автор: avernius
Не могу решить
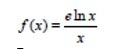
1.)Провести полное исследование и построить графики функций.
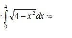
2.)Интеграл определённый
Приложения:
Ответы
Автор ответа:
0
решение на фотографии...
Приложения:
Похожие вопросы
Предмет: Алгебра,
автор: yana8554
Предмет: Математика,
автор: artem7770
Предмет: Информатика,
автор: olegpatsuk9
Предмет: Математика,
автор: leonidvasilev1
Предмет: Математика,
автор: leonidvasilev1