Предмет: Математика,
автор: Аноним
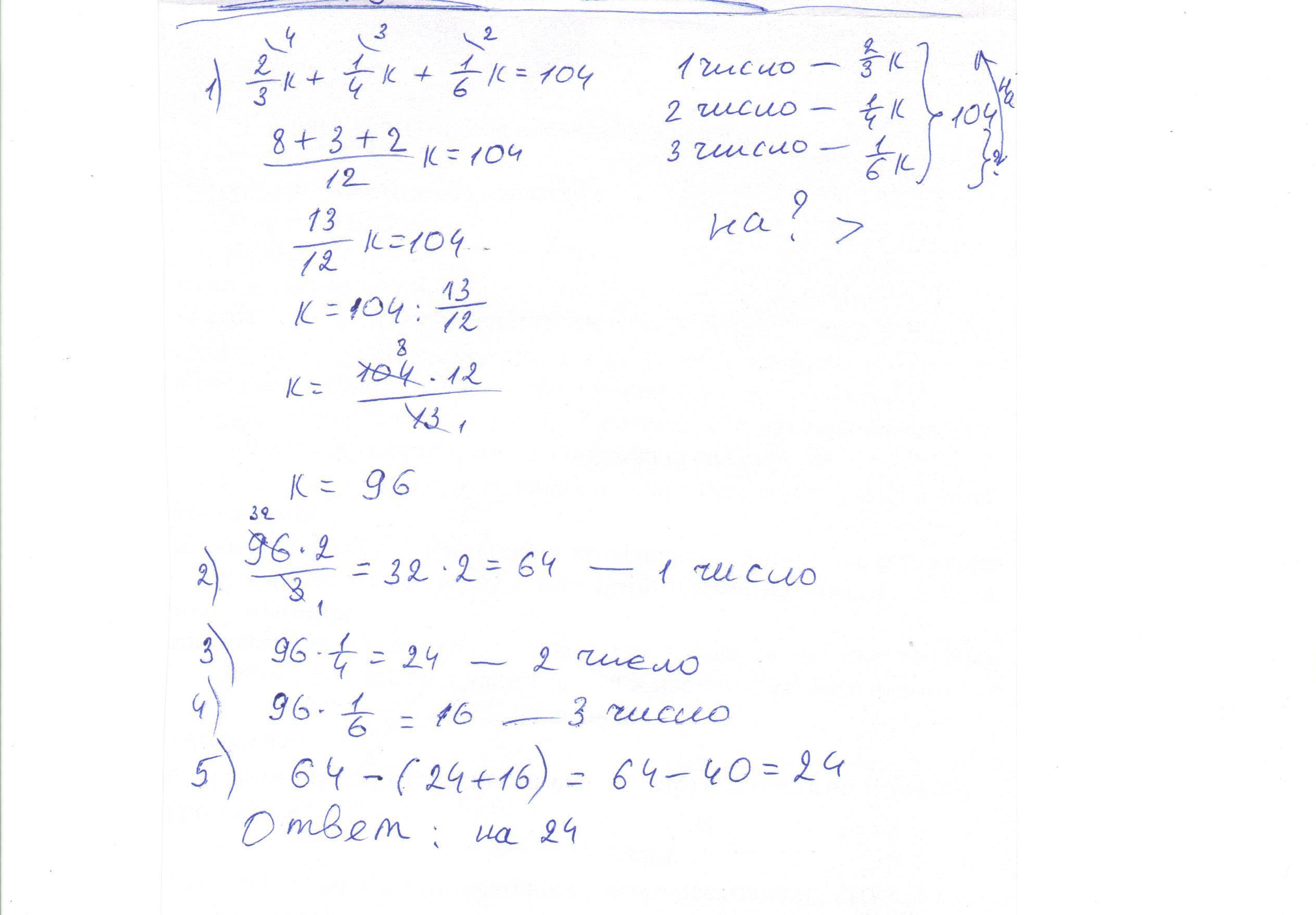
число 104 разделено на части прямо пропорционально числу 2/3 и обратно пропорционально числам 4 и 6. На сколько первое число больше суммы второго и третьего чисел
Ответы
Автор ответа:
0
делим число 104 на 3 слагаемых
Приложения:
Похожие вопросы
Предмет: Математика,
автор: dvbsh
Предмет: Математика,
автор: danielkiryazo
Предмет: Українська мова,
автор: hua200218
Предмет: Химия,
автор: erdosaynur