Предмет: Математика, автор: Артемзайцев2006

Помогите с номером 4!
Срочно

Приложения:

Ответы

Автор ответа: Zombiehell
0
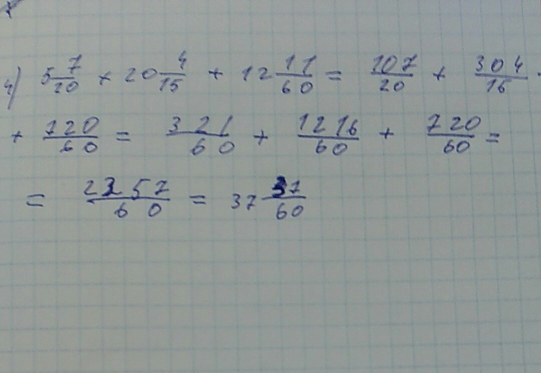
вот так решается 4 номер
Приложения:
Похожие вопросы
Предмет: Алгебра, автор: husaneriell5
Предмет: Информатика, автор: wasdadsenni
Телепорт
Эта задача с открытыми тестами. Ее решением является набор ответов, а не программа на языке программирования. Тесты указаны в самом условии, от вас требуется лишь ввести ответы на них в тестирующую систему.

Вчера на день рождения Максиму подарили телепорт (устройство для телепортации). Сегодня Максим хочет опробовать его по дороге в школу.

Улицу, на которой живет Максим, можно представить в виде координатной прямой, на которой дом Максима имеет координату A метров, школа — B метров, а скорость передвижения Максима равна 1 м/c. Телепорт открывает портал в определенной точке C на координатной прямой и при входе в него моментально перемещает Максима в определенную точку D на координатной прямой.

Максим хочет как можно быстрее оказаться в школе. Максиму не обязательно использовать телепорт, но он может это сделать, если это ускоряет путь.

Определите по заданным числам A, B, C и D, через какое наименьшее количество секунд Максим сможет оказаться в школе.

Формат результата
Введите одно целое число — минимальное количество секунд, через которое Максим сможет попасть из дома в школу.

Примечания
Если, например, A = 2, B = 13, C = 4, D = 8, схематично можно изобразить расположение дома, телепорта и школы следующим образом:

Тогда Максиму выгодно пройти через телепорт, и он окажется в школе уже через t = C - A + B - D = 4 - 2 + 13 - 8 = 7 секунд.

Тест №1(задача А.1): A = 6, B = 15, C = 5, D = 14;
Тест №2(задача А.2): A = 10, B = 17, C = 1, D = 32;
Тест №3(задача А.3): A = 13, B = 21, C = 11, D = 40;
Тест №4(задача А.4): A = 4, B = 68, C = 49, D = 75;
Тест №5(задача А.5): A = 7, B = 19, C = 1, D = 50;
Тест №6(задача А.6): A = 18, B = 48, C = 27, D = 70;
Тест №7(задача А.7): A = 15, B = 32, C = 10, D = 37;
Тест №8(задача А.8): A = 30, B = 68, C = 20, D = 50;
Тест №9(задача А.9): A = 151, B = 386, C = 250, D = 381;
Тест №10(задача А.10): A = 249, B = 769, C = 445, D = 986.помогите срочно!! информатика 7 класс
Предмет: Математика, автор: kseni198269