Предмет: Математика,
автор: JJJJJJ28
Разнятся ответы. Решите для статистики.
Приложения:
Ответы
Автор ответа:
0
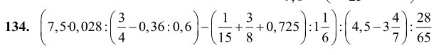
1. 7,5*0,028=0,21
2. 3/4-0,36:0,6=0,75-0,6=0,15.
3. 0,21/0,15=1,4.
4. ¹/₁₅+³/₈+0,725=¹/₁₅+³/₈+²⁹/₄₀=(1*8+3*15+29*3)/120=140/120=7/6.
5. (7/6):(1¹/₆)=(7/6):(7/6)=1.
6. 1,4-1=0,4=2/5.
7. 4,5-3⁴/₇=4¹/₂-3⁴/₇=(9/2)-(25/7)=(9*7-25*2)/14=(63-50)/14=13/14.
8. (2/5):(13/14)=2*14/(5*13)=28/65.
9. (28/65):(28/65)=1.
Ответ: 1.
2. 3/4-0,36:0,6=0,75-0,6=0,15.
3. 0,21/0,15=1,4.
4. ¹/₁₅+³/₈+0,725=¹/₁₅+³/₈+²⁹/₄₀=(1*8+3*15+29*3)/120=140/120=7/6.
5. (7/6):(1¹/₆)=(7/6):(7/6)=1.
6. 1,4-1=0,4=2/5.
7. 4,5-3⁴/₇=4¹/₂-3⁴/₇=(9/2)-(25/7)=(9*7-25*2)/14=(63-50)/14=13/14.
8. (2/5):(13/14)=2*14/(5*13)=28/65.
9. (28/65):(28/65)=1.
Ответ: 1.
Похожие вопросы
Предмет: Английский язык,
автор: aubakirovaaruzan280
Предмет: Алгебра,
автор: Аноним
Предмет: История,
автор: d4rfcfff974511444
Предмет: Математика,
автор: Gamerhello
Предмет: Математика,
автор: bossras