Предмет: Математика,
автор: heykatys
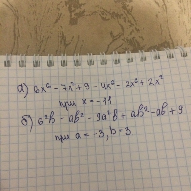
Найдите значение многочлена, срочно
Приложения:
Ответы
Автор ответа:
0
а)
приведем подобные члены

избавимся от нуля

подставим при х= -11

б)
сократим противоположные выражения

подставим при а= -3,б=3


приведем подобные члены
избавимся от нуля
подставим при х= -11
б)
сократим противоположные выражения
подставим при а= -3,б=3
Похожие вопросы
Предмет: Физика,
автор: balvan20177
Предмет: География,
автор: Lezynator
Предмет: Английский язык,
автор: tzuliana2205
Предмет: Физика,
автор: NAGIBAYKA9959559
Предмет: Биология,
автор: Amorrr