Предмет: Алгебра,
автор: opalgeorgii
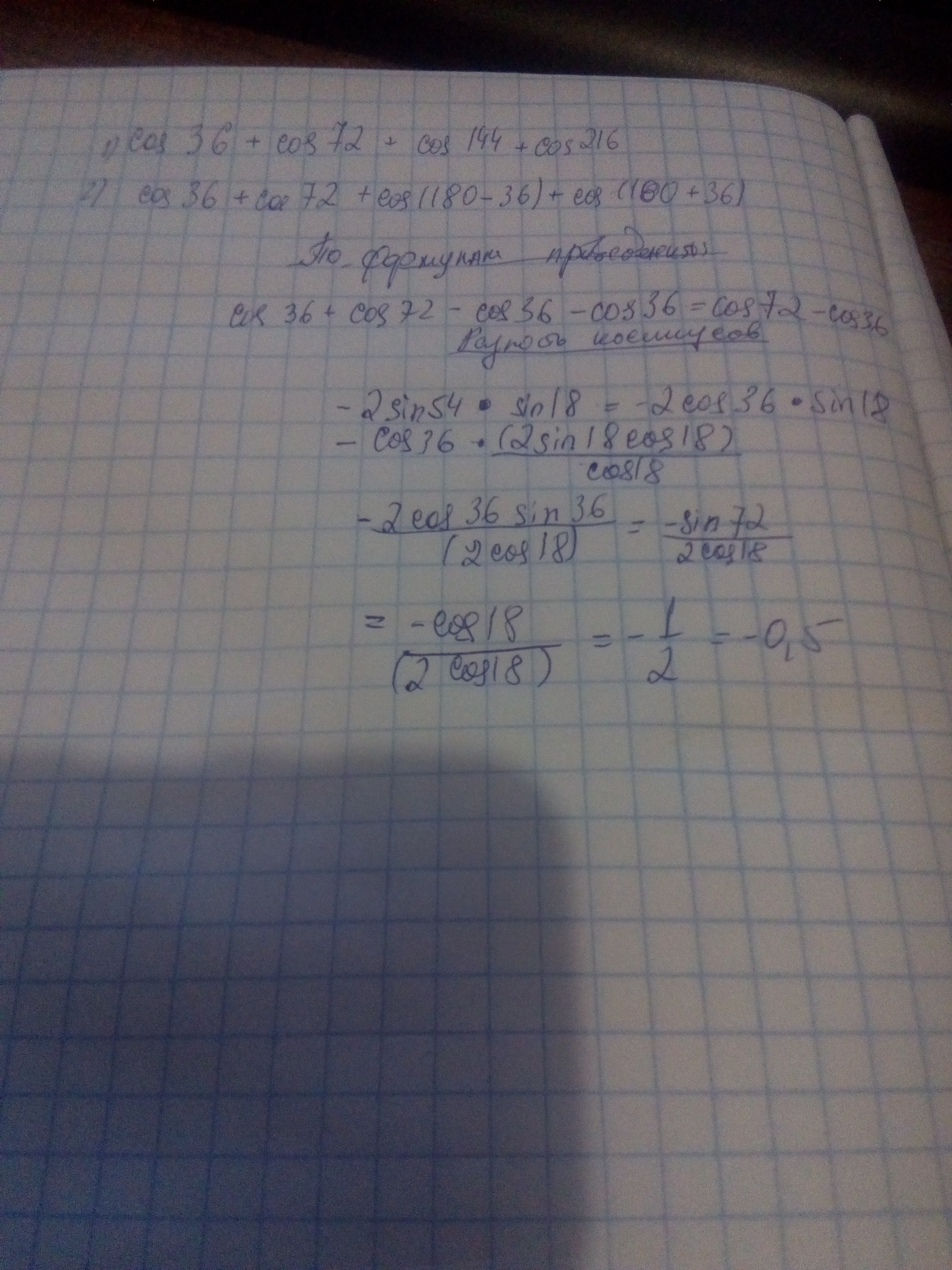
Помогите сделать 1.181 пж
Приложения:
Ответы
Автор ответа:
0
Решение во вложении... (см. фото)
Приложения:
Автор ответа:
0
tnx
Автор ответа:
0
u wlcm)
Похожие вопросы
Предмет: Информатика,
автор: aleksandrkubrak24
Предмет: Английский язык,
автор: Аноним
Предмет: Алгебра,
автор: sampersamper30
Предмет: Математика,
автор: eltacnasibov
Предмет: Физика,
автор: email51Майси