Предмет: Алгебра,
автор: berezovskayave
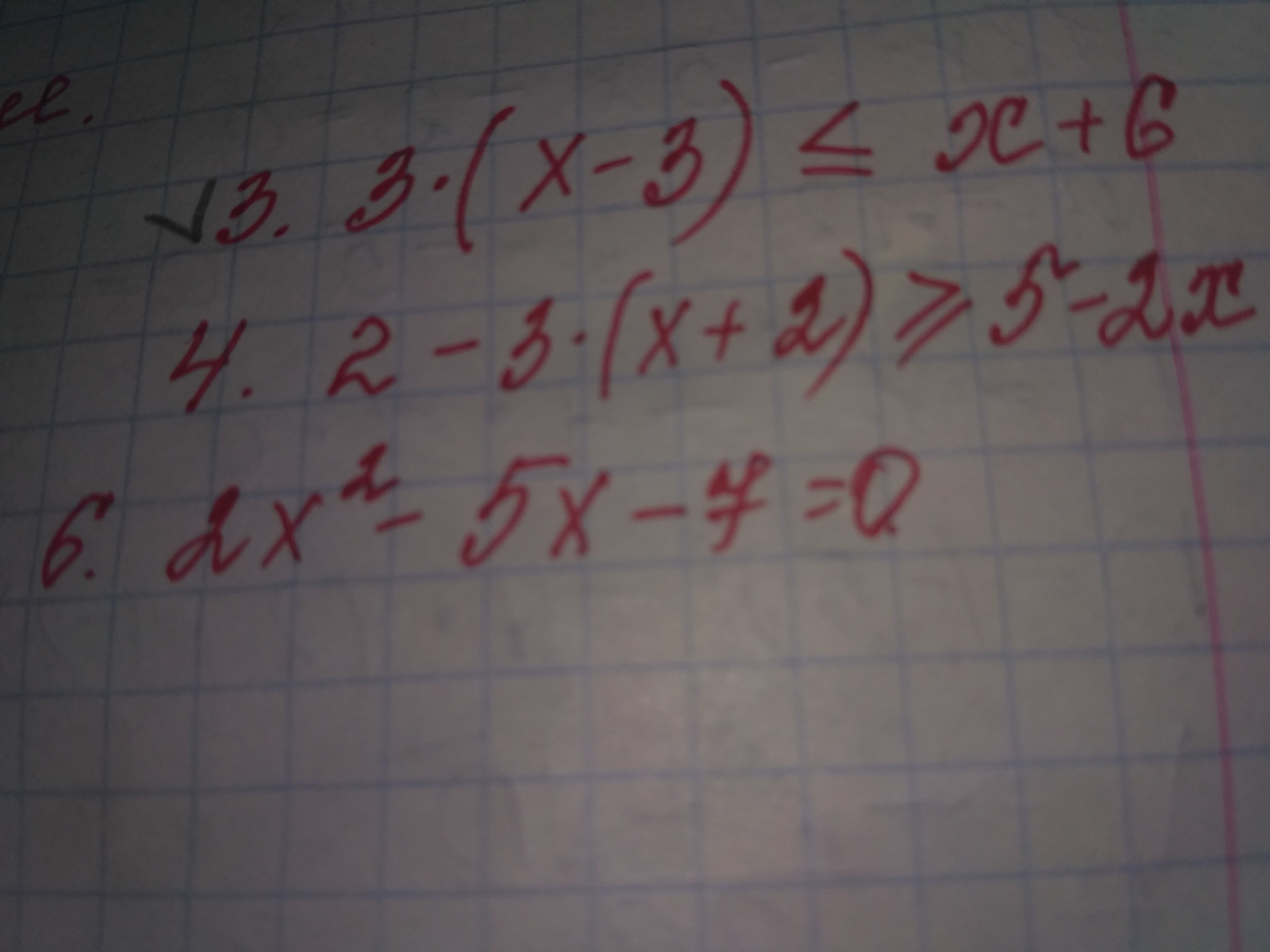
Помогите. 9 класс номер 3 и 4
Приложения:
Ответы
Автор ответа:
0
Ответ на фото! Удачи!
Приложения:
Похожие вопросы
Предмет: Алгебра,
автор: NoName11824
Предмет: География,
автор: daniela9993
Предмет: География,
автор: acenkomarina08
Предмет: Информатика,
автор: Хеленс
Предмет: География,
автор: dinakh12