Предмет: Алгебра,
автор: mrmolchanov201
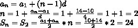
Известно а)а1=10 d=4 an=50 b)a1=10 d=4 an=14.Найдите n и sn
Ответы
Автор ответа:
0
а) Аn=a1+(n-1)d50=10+(n-1)*450=10+4n-44n=44n=11Sn=(a1+an)/2*nSn=(10+50)/2*11=33 0
б)
б)
Приложения:
Похожие вопросы
Предмет: Кыргыз тили,
автор: Orange007
Предмет: Математика,
автор: ernazarovakorkem
Предмет: Українська мова,
автор: yariklaichukcom
Предмет: Математика,
автор: тоха92
Предмет: Информатика,
автор: zheniashirokih