Предмет: Математика,
автор: misha88888
Помогите решить примеры пожалуйста 6 класс. пожалуйста полное решение примеров
Приложения:
Ответы
Автор ответа:
0
1)а)5/6m-2/6m-0,5m+0,4=3/6m-0,5m+0,4=0,5m-0,5m+0,4=0,4
б)3,6+5/12t-2/12t-0,25t=3,6+3/12t-0,25t=3,6+0,25t-0,25t=3,6
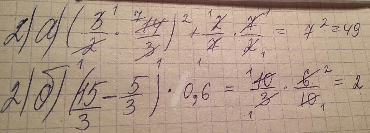
во 2)а)будет не 7 в квадрате ,а 7 в квадрате +1=49+1=50 ,остальное до этого верно
б)3,6+5/12t-2/12t-0,25t=3,6+3/12t-0,25t=3,6+0,25t-0,25t=3,6
во 2)а)будет не 7 в квадрате ,а 7 в квадрате +1=49+1=50 ,остальное до этого верно
Приложения:
Автор ответа:
0
Не знаю.
Автор ответа:
0
ну вот
Автор ответа:
0
Послал на исправление. Может быть теперь сумеете поменять фотографию?
Автор ответа:
0
только текст смогла исправить
Автор ответа:
0
но это лучше чем ничего
Похожие вопросы
Предмет: Математика,
автор: 666666658847
Предмет: Русский язык,
автор: epasa289
Предмет: Математика,
автор: bigboss200622
Предмет: Математика,
автор: Leyla2016
Предмет: Литература,
автор: diasdias593gmailcom