Предмет: Химия,
автор: Limon4iK1000
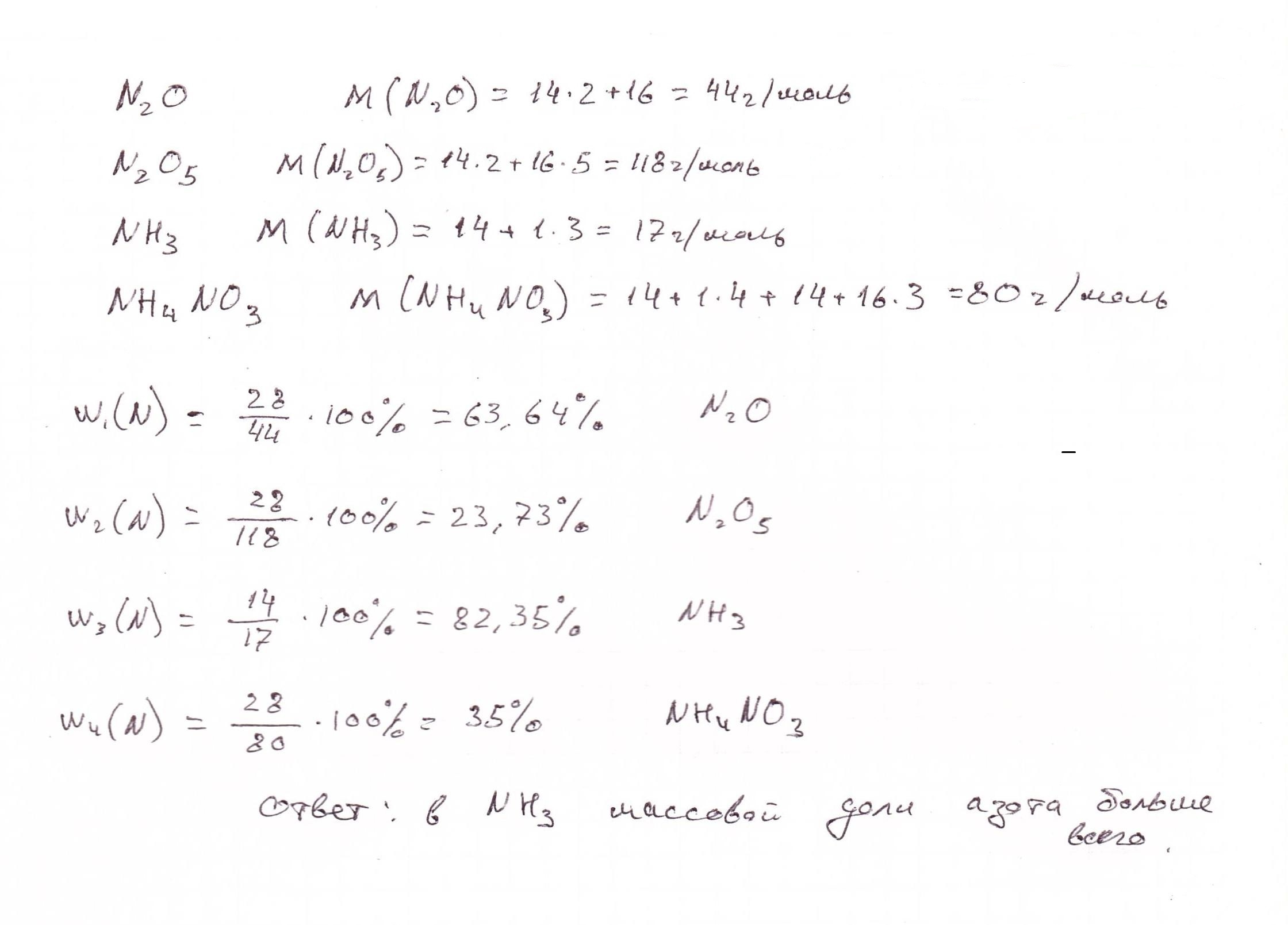
СРОЧНО!!! ДАЮ 30 БАЛЛОВ!!! Чему равна массовая доля азота в следующих веществах: N2O, N2O5, NH3, NH4NO3? В каком из этих веществ массовая доля азота наименьшая?
Цифрами указан индекс, тоесть маленькие циферки!
Ответы
Автор ответа:
0
В NH3 массовая доля азота больше всего. Подробное решение в файле.
Приложения:
Похожие вопросы
Предмет: Геометрия,
автор: dansimden070
Предмет: Геометрия,
автор: Baevyaroslav88
Предмет: Алгебра,
автор: atedo
Предмет: Математика,
автор: kaiaokinVic
Предмет: Физика,
автор: danilkudrenko18