Предмет: Алгебра, автор: MrIlyha

Решить уравнение!!!!!1

Приложения:

Ответы

Автор ответа: NoLikc
0
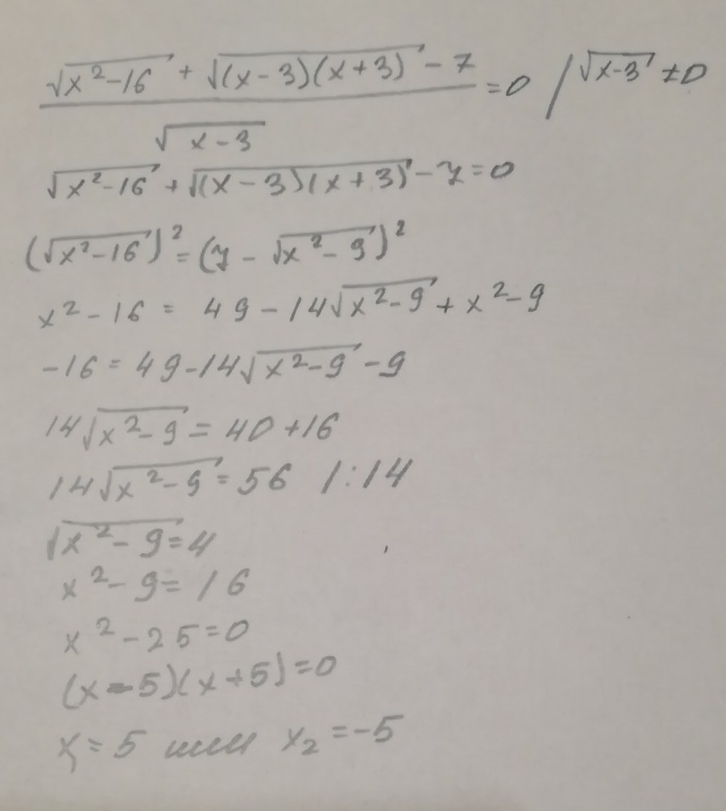
по ОДЗ подходит только 5
Приложения:
Похожие вопросы
Предмет: Алгебра, автор: iradayibragimova567
Предмет: География, автор: iceonekot