Предмет: Химия,
автор: Ивандурак000
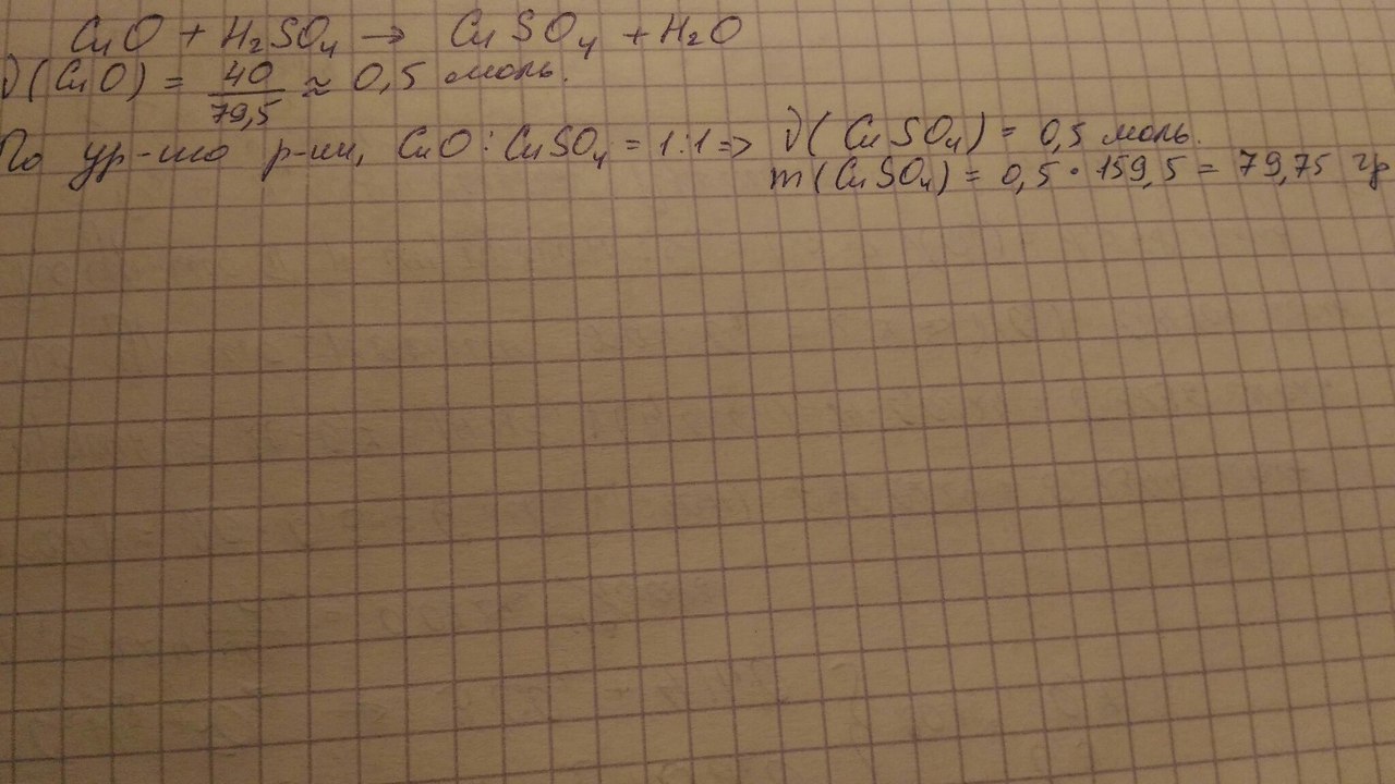
Задача сколько граммов сульфата меди образуется при растворении 40 г оксида меди в растворе серной кислоты
Ответы
Автор ответа:
0
Ответ приведён на фотографии.
Приложения:
Похожие вопросы
Предмет: Геометрия,
автор: vichka1978
Предмет: Русский язык,
автор: omagadyou
Предмет: Литература,
автор: Marfa2345
Предмет: Алгебра,
автор: кутявина
Предмет: Алгебра,
автор: Аноним