Предмет: Алгебра,
автор: sda2000den
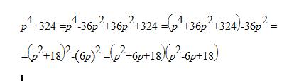
Помогите разложить на множители p^4+324
Ответы
Автор ответа:
0
============================================================
Приложения:
Похожие вопросы
Предмет: Английский язык,
автор: noobchik1
Предмет: Математика,
автор: lerakozyreva20
Предмет: Русский язык,
автор: kseniauskevic61
Предмет: Математика,
автор: артёмчик10122001