Предмет: Математика, автор: SofiyaBolshedvorova

Выполните рациональным способом сложение:



номер 465

пожалуйста толь понятно и с обьяснениями понятными.



молю пжжжж


на фото номер нее уж пж пж пж пж
заранее спс

Приложения:

Ответы

Автор ответа: parus77
0
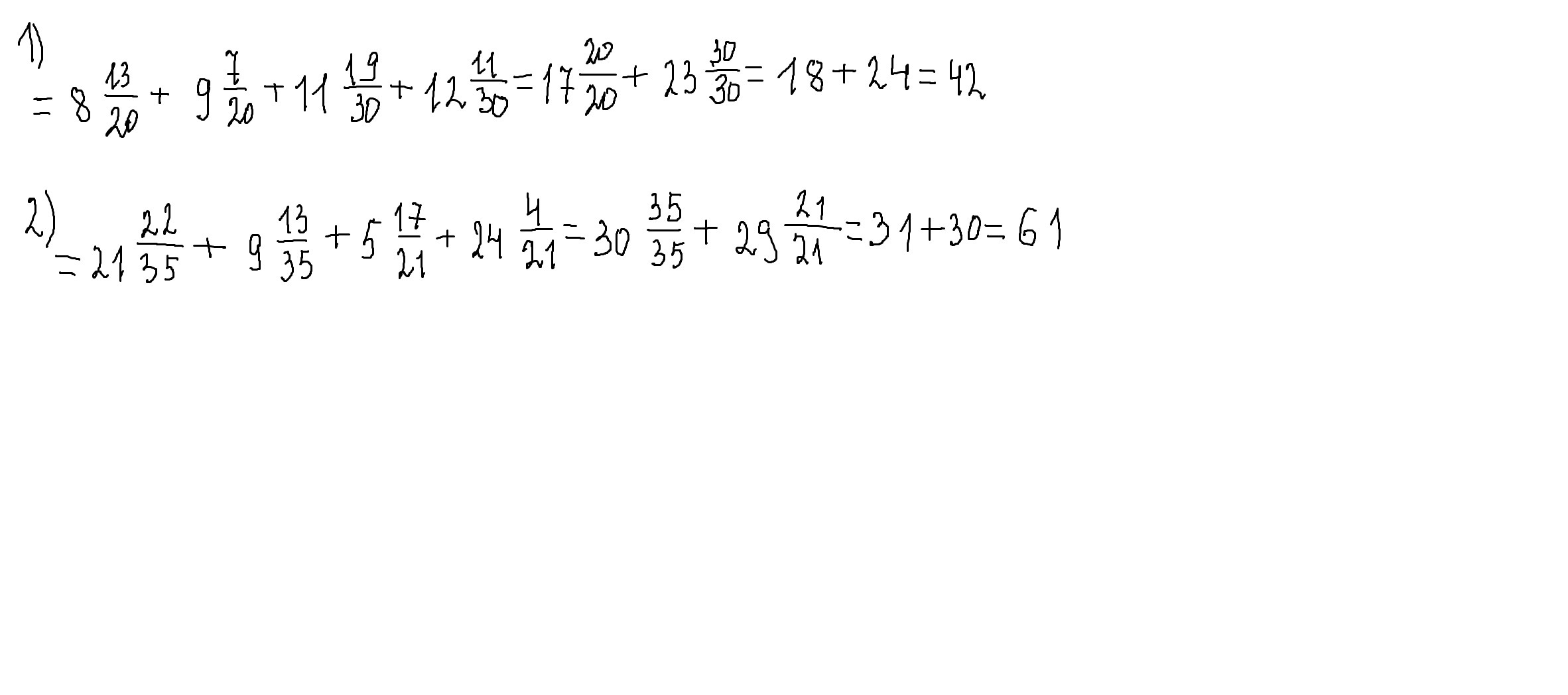
складываем дроби с одинаковыми знаменателями
Приложения:
Автор ответа: SofiyaBolshedvorova
0
спасибо а то я эту тему проболела
Автор ответа: SofiyaBolshedvorova
0
там на фото видно номер 466
Автор ответа: SofiyaBolshedvorova
0
можешь тоже сделать
Автор ответа: SofiyaBolshedvorova
0
И написать в коменты
Похожие вопросы
Предмет: Математика, автор: adilovmiraziz
Предмет: Литература, автор: lessee871
Предмет: Литература, автор: Аноним