Предмет: Алгебра,
автор: kosmosyulia
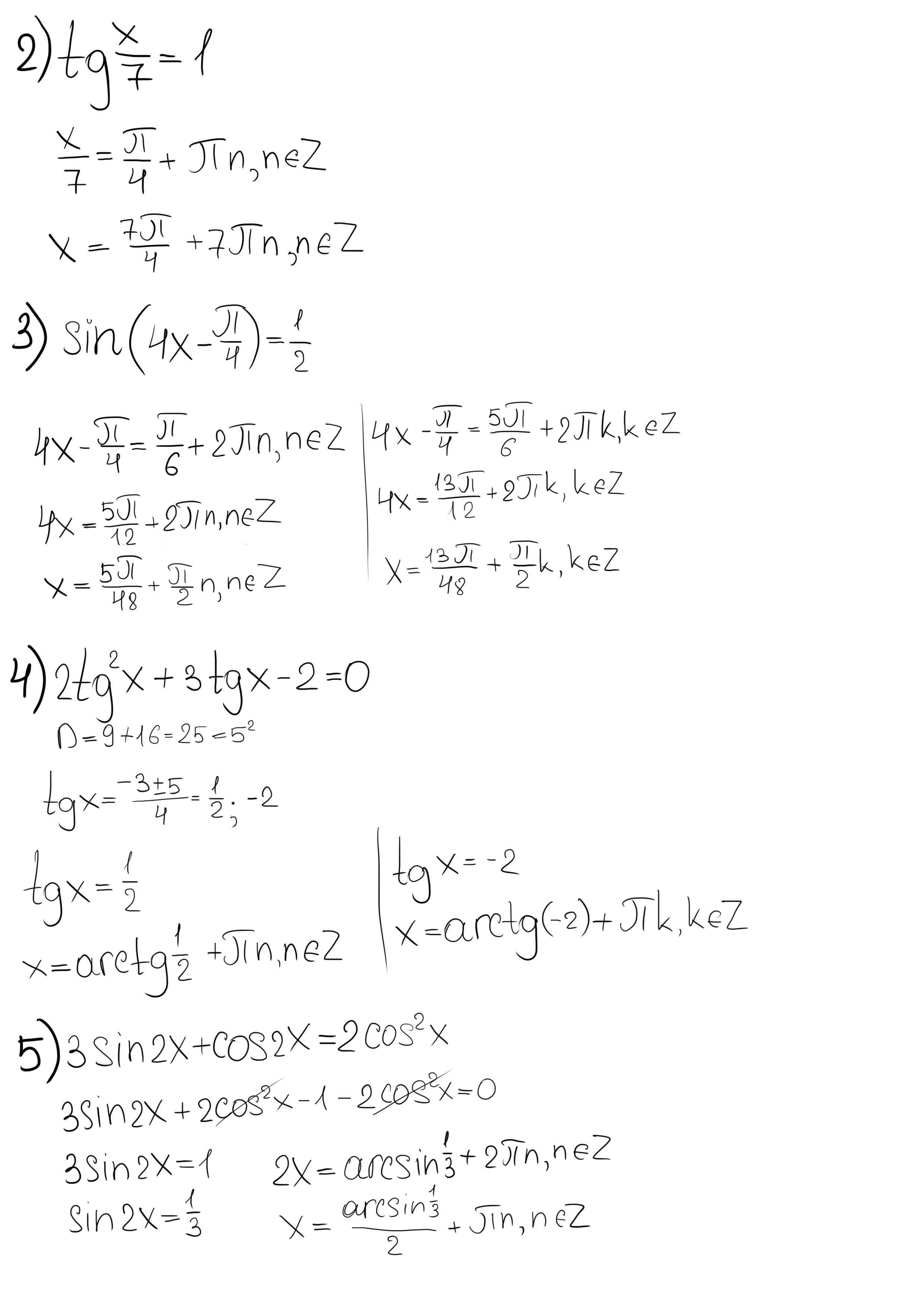
Все до 6 задания, помогите срочно пожалуйста
Приложения:
Ответы
Автор ответа:
0
вроде все правильно, но лучше проверить
Приложения:
Похожие вопросы
Предмет: Қазақ тiлi,
автор: lebedihina5
Предмет: Математика,
автор: angelichappiness45
Предмет: Математика,
автор: esene5635
Предмет: Математика,
автор: Тамирлан123