Предмет: Геометрия,
автор: dashaivanovlkdfg134
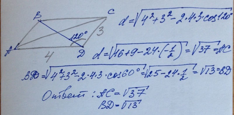
Стороны параллелограмма равны 4 см и 3 см, а угол между ними равен 120°. Чему равны диагонали параллелограмма?
AC=−−−−−√ см,
BD=−−−−−√ см
Ответы
Автор ответа:
0
решение прикреплено
..........................
..........................
Приложения:
Похожие вопросы
Предмет: Геометрия,
автор: Tress8
Предмет: Қазақ тiлi,
автор: alibekovasvetlana85
Предмет: История,
автор: kenzebekbajdybek343
Предмет: Геометрия,
автор: bessembaeva