Предмет: Геометрия,
автор: leznovampolimytr
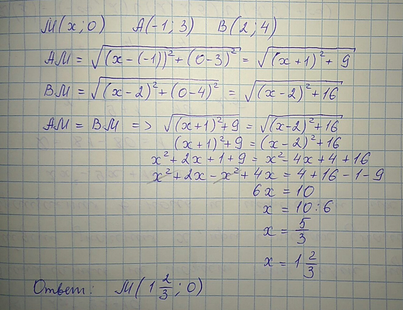
На оси абсцисс найти точку М (х;0) Равноудаленную от точек А(-1:3) В (2:4)
Ответы
Автор ответа:
0
Ответ и решение на фото
Приложения:
Похожие вопросы
Предмет: Геометрия,
автор: miraskyzy
Предмет: Русский язык,
автор: fantasyelassen
Предмет: Литература,
автор: dima73888
Предмет: Алгебра,
автор: Julikek