Предмет: Алгебра,
автор: Pesochekzla
От этого зависит существование вымирающего вида животных
Приложения:
Ответы
Автор ответа:
0
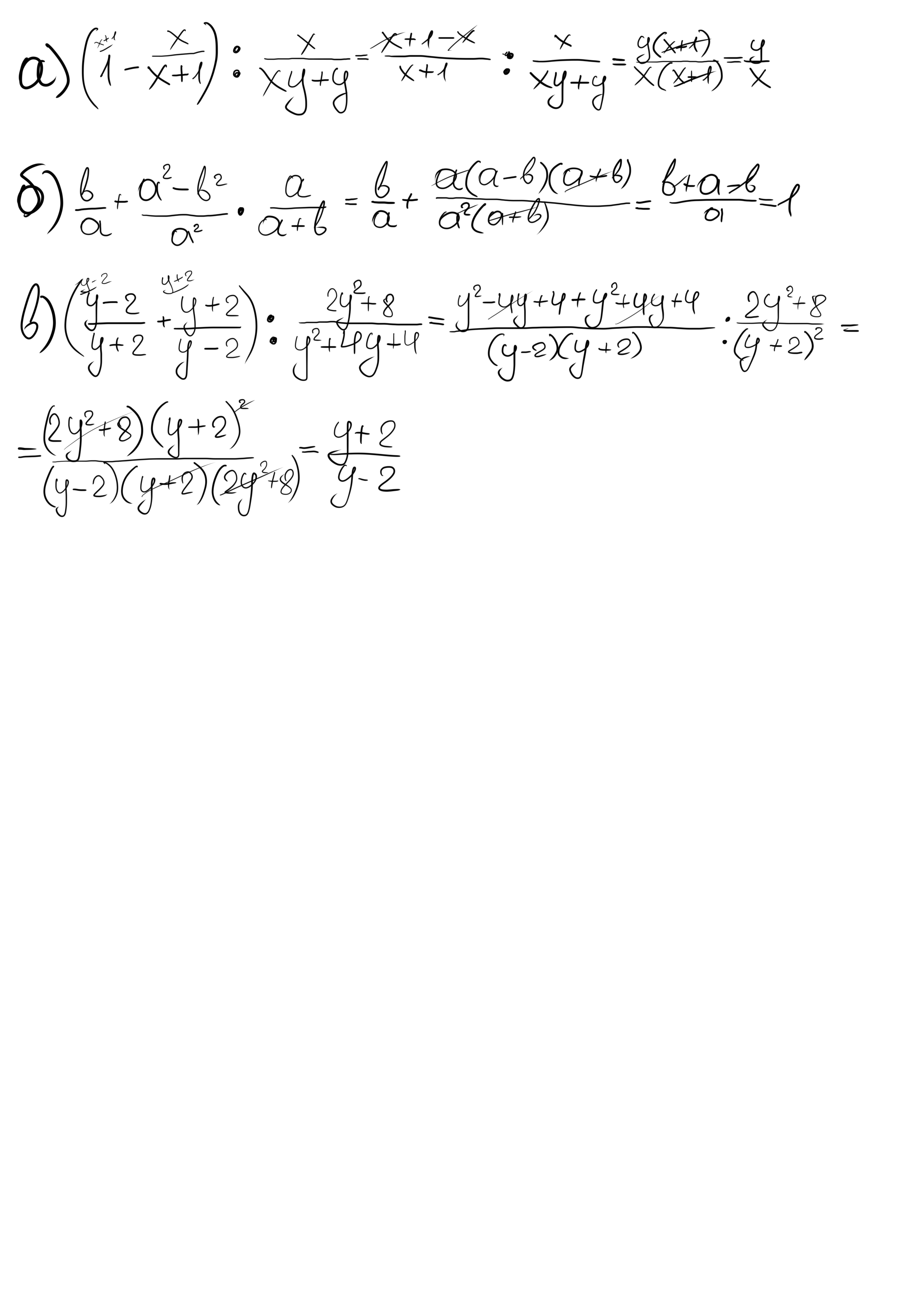
вроде все правильно, но лучше проверить
Приложения:
Похожие вопросы
Предмет: Математика,
автор: kulibyaka667
Предмет: Физика,
автор: dedovk2008
Предмет: Русский язык,
автор: egorkarp149
Предмет: Математика,
автор: guldidar89