Предмет: Математика,
автор: svetlanaosv
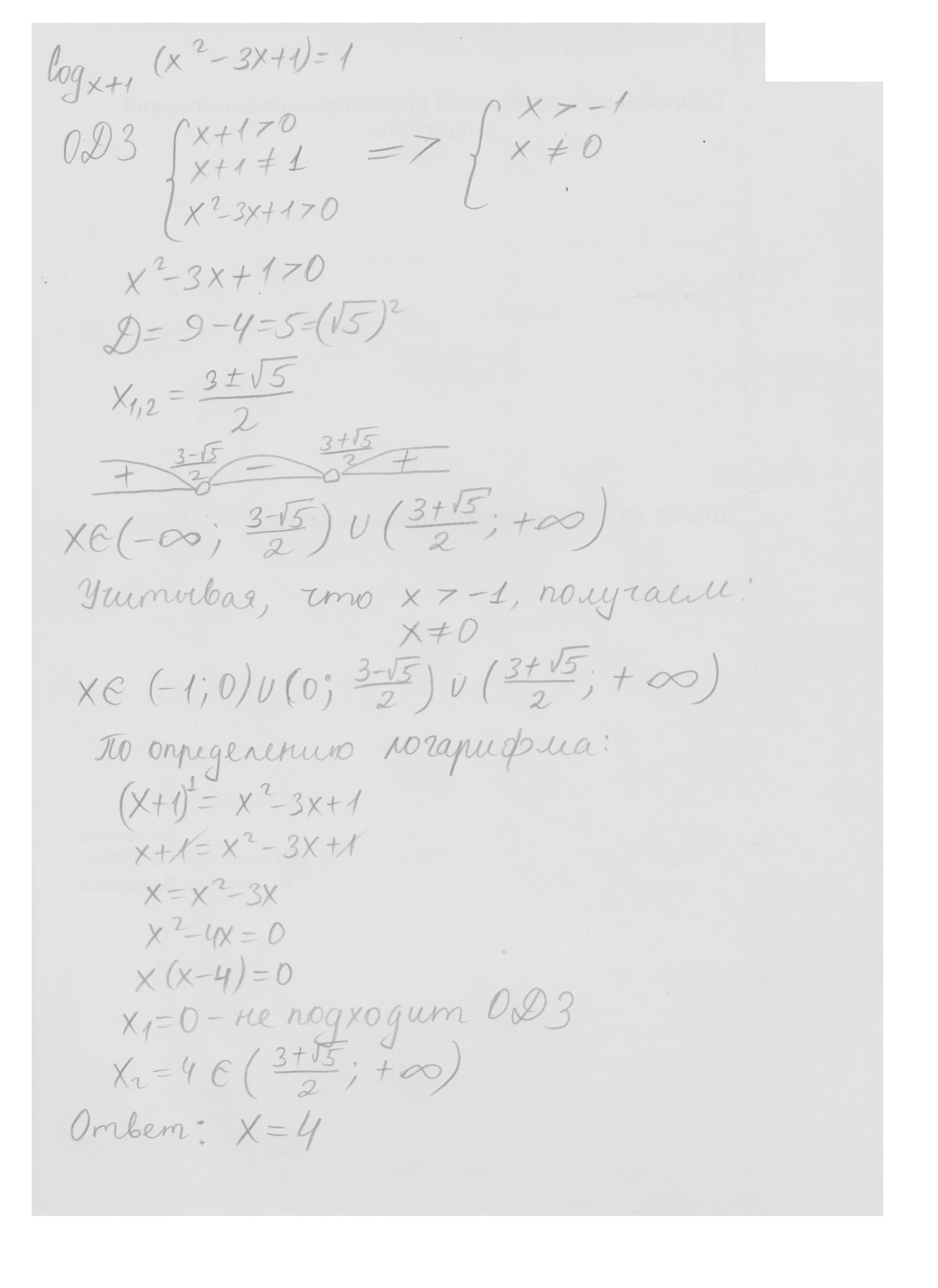
помогите пожалуйста решить уравнения, очень-очень нужно. Буду благодарна
Приложения:
Ответы
Автор ответа:
0
Решение в приложении.
Приложения:
Автор ответа:
0
огромное спасибо. если можно, разъясните как давать баллы, я с удовольствием отдам
Автор ответа:
0
поставьте лучшее решение, разве что
Автор ответа:
0
лучшее решение
Похожие вопросы
Предмет: Математика,
автор: serbakovk055
Предмет: Математика,
автор: Аноним
Предмет: Математика,
автор: erzigitovkuanys446
Предмет: Биология,
автор: ахахазха
Предмет: История,
автор: amanzhikova