Предмет: Алгебра,
автор: hellllppppp
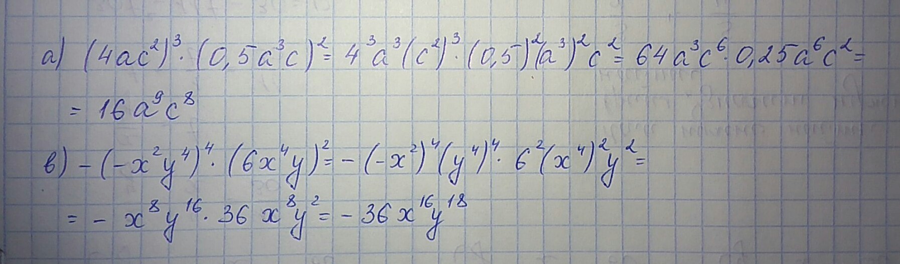
представти в виде одночлена стандартного вида!!!
Приложения:
Ответы
Автор ответа:
0
Ответы и решение на фото
Приложения:
Похожие вопросы
Предмет: Химия,
автор: inurkidra
Предмет: Информатика,
автор: ivalinka
Предмет: Математика,
автор: Ilinaki08
Предмет: Математика,
автор: 31241
Предмет: Математика,
автор: 31241