Предмет: Алгебра,
автор: magnumttozoeah
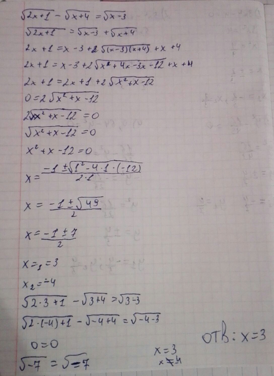
решите уравнение:√2x+1-√x+4=√x-3
Ответы
Автор ответа:
0
..........................
Приложения:
Похожие вопросы
Предмет: Другие предметы,
автор: deathhating
Предмет: Русский язык,
автор: frankgalina4
Предмет: Українська мова,
автор: Mkoovalenkoo
Предмет: Математика,
автор: Валерия12311
Предмет: География,
автор: kriss40