Предмет: Математика,
автор: кар90
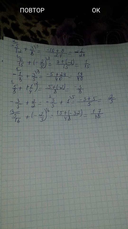
найдите значение суммы -5/12 + 3/8; 7/15+(-2/5); -1/8+3/5; 5/8+(-1/4); -3/5+2/2; 5/16+(-2/3);поготиге плииз
Ответы
Автор ответа:
0
Ответ на фото.......
Приложения:
Похожие вопросы
Предмет: Математика,
автор: Snezhanna01867
Предмет: Алгебра,
автор: Pomogite423
Предмет: Информатика,
автор: danyaklyuev
Предмет: Алгебра,
автор: missismikaelyan
Предмет: Алгебра,
автор: Timaznatok