Предмет: Алгебра,
автор: 123451304
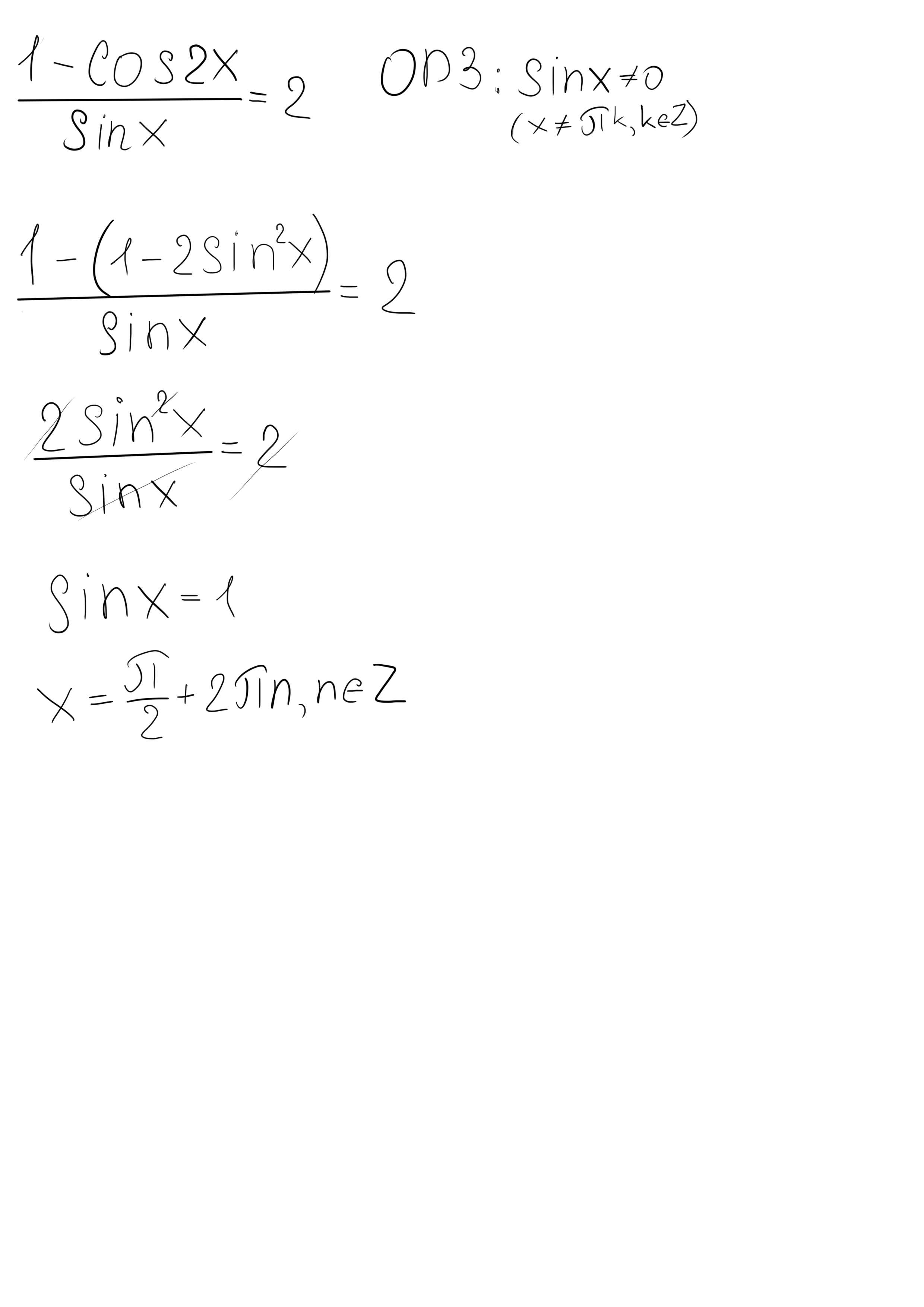
1-cos2x/sinx=2
помогите.
Ответы
Автор ответа:
0
вроде все правильно, но лучше проверить
Приложения:
Похожие вопросы
Предмет: Физика,
автор: marinakovalova8554
Предмет: Физика,
автор: arinkakwai
Предмет: Математика,
автор: emamuradova
Предмет: Биология,
автор: nastasuzdalceva