Предмет: Геометрия,
автор: wokef1
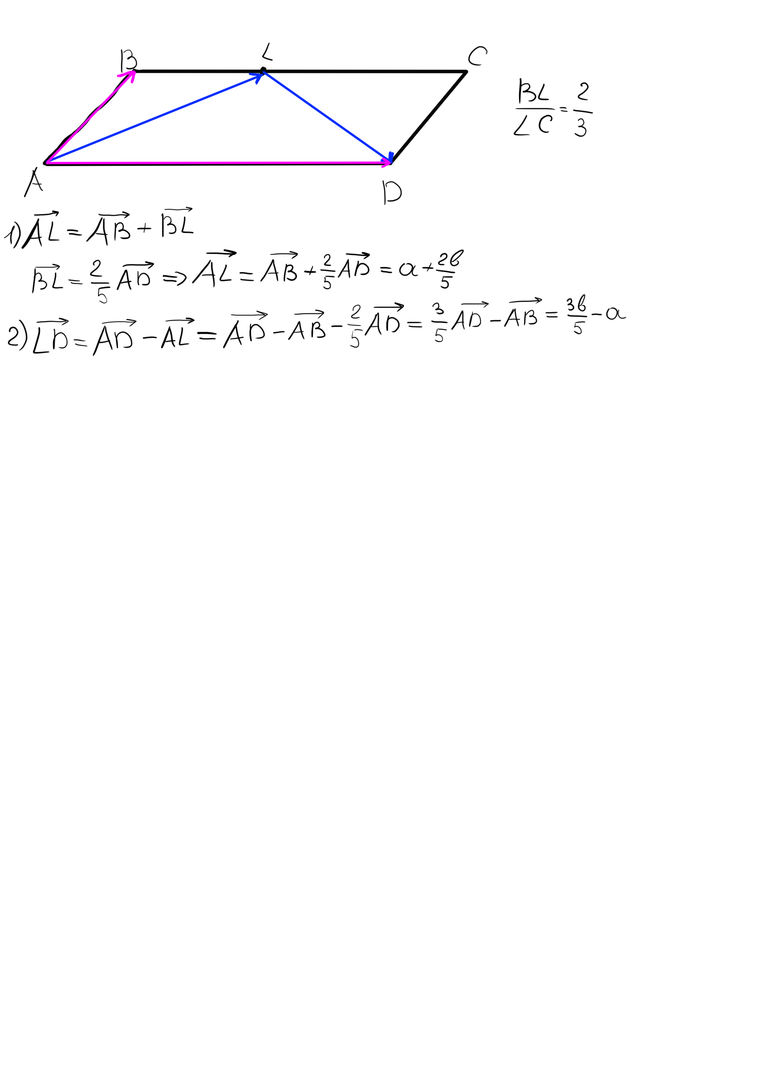
В параллелограмме ABCD точка L делит сторону BC на части BL:LC=2:3 выразите векторы AL и LD через векторы AB=a и AD=b
срочно СРОЧНО
Ответы
Автор ответа:
0
написал на листе решение
Приложения:
Похожие вопросы
Предмет: Химия,
автор: silecalbina500
Предмет: Английский язык,
автор: hajiyevazeynab07
Предмет: Қазақ тiлi,
автор: zuldyzsejtmurat945
Предмет: Математика,
автор: zxcvbnm40
Предмет: История,
автор: halima2002aliyeva