Предмет: Алгебра,
автор: Yyyyyyshdvjfc
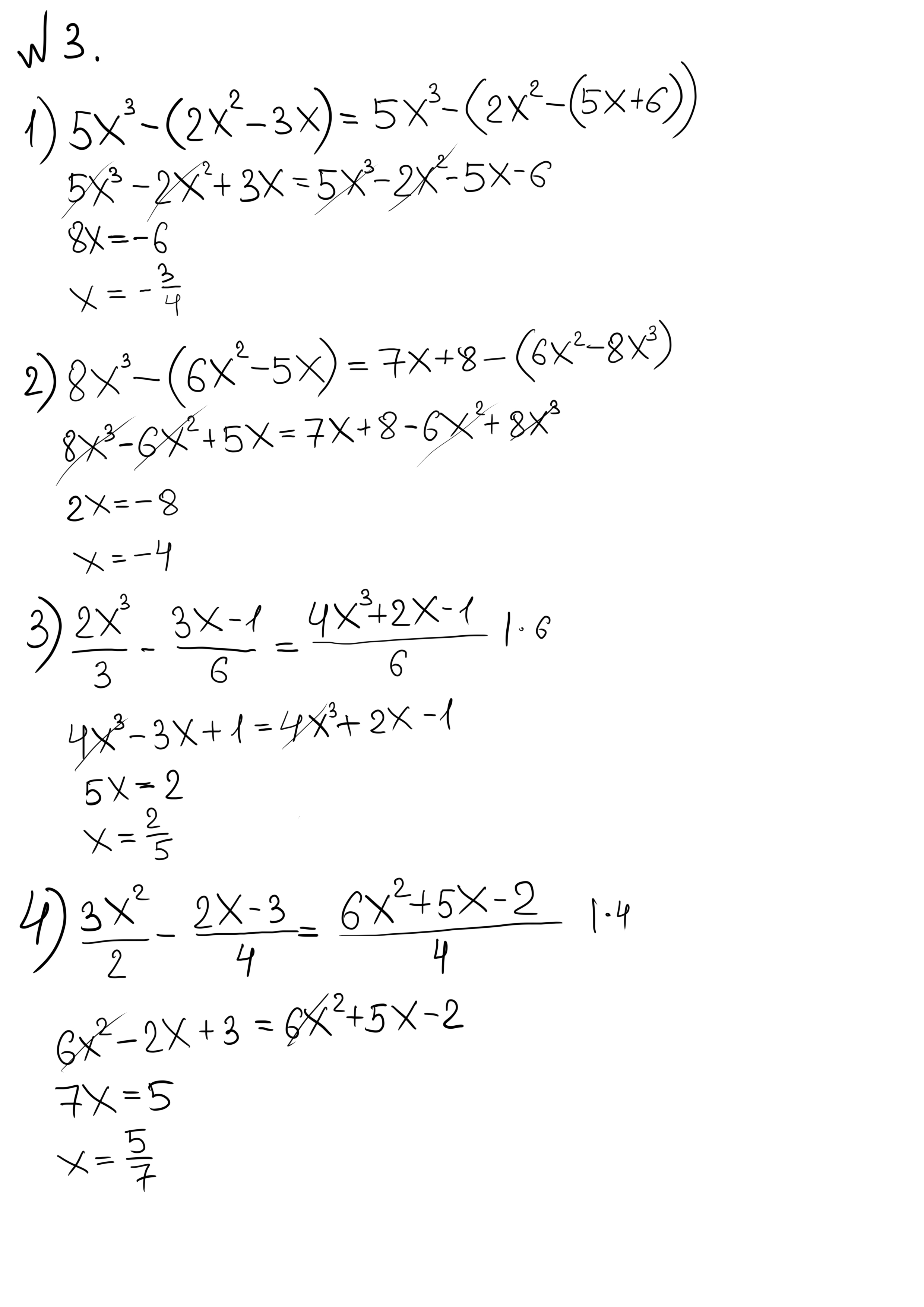
Решите номер 3 пжжжжжжжж
Приложения:
Ответы
Автор ответа:
0
вроде все правильно, но лучше проверить
Приложения:
Похожие вопросы
Предмет: Окружающий мир,
автор: Аноним
Предмет: Математика,
автор: roshchinaallochka
Предмет: Алгебра,
автор: kuanysnri077
Предмет: Математика,
автор: Anazur43
Предмет: Математика,
автор: Arman78234