Предмет: Алгебра,
автор: kerlik08
помогите решить,пожалуйста
не могу решить
Приложения:
Ответы
Автор ответа:
0
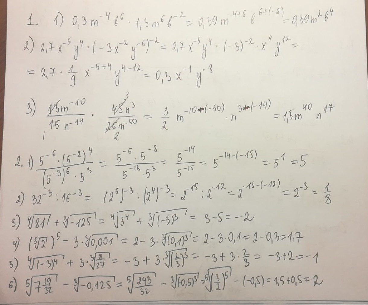
1. Упростить выражения
2. Вычислить
2. Вычислить
Приложения:
Похожие вопросы
Предмет: Алгебра,
автор: fppsfsccp
Предмет: Другие предметы,
автор: proneko85
Предмет: Информатика,
автор: asssssw2
Предмет: Литература,
автор: Andrey1883926
Предмет: Алгебра,
автор: kurbonix