Предмет: Алгебра,
автор: Молодочек
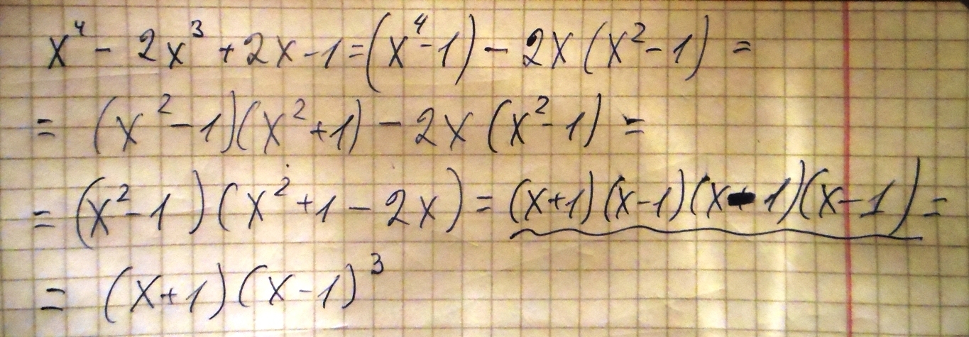
Срочно!Обьясните как делать 3 из 4-ого номера
Приложения:
Ответы
Автор ответа:
0
!!!!!!!!!!!!!!!!!!!!!!!!!!!!!!
Приложения:
Похожие вопросы
Предмет: Английский язык,
автор: Аноним
Предмет: Математика,
автор: bublyplay123
Предмет: Право,
автор: pomogiteaa0
Предмет: Литература,
автор: ilya162