Предмет: Алгебра,
автор: Илья3541
Прошу, помогите решить пожалуйста примеры
Приложения:
Ответы
Автор ответа:
0
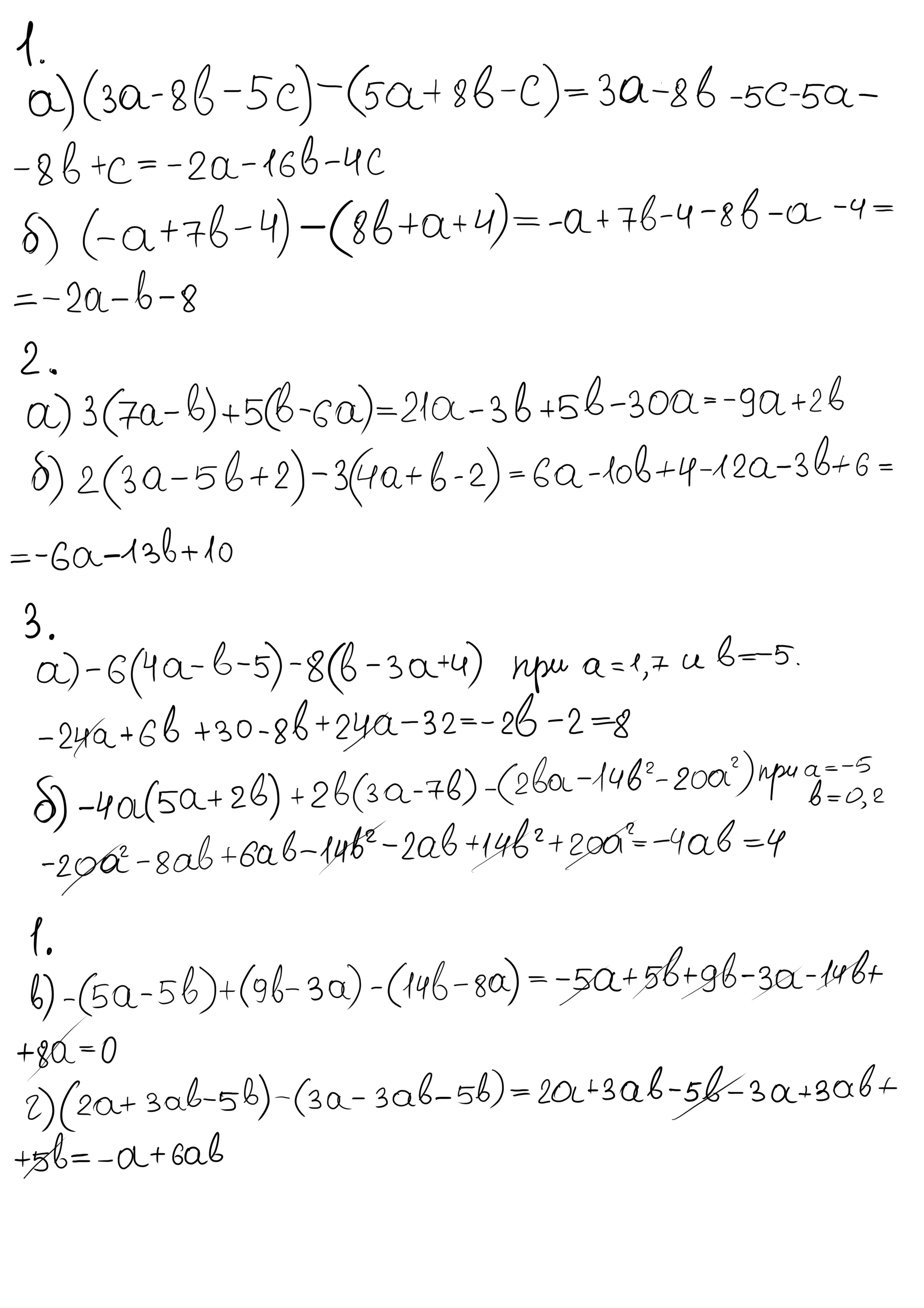
вроде все правильно, но лучше проверить
Приложения:
Похожие вопросы
Предмет: Математика,
автор: abaidubai
Предмет: Українська мова,
автор: Strawberry345
Предмет: История,
автор: ermekzhanabilovps4
Предмет: Биология,
автор: fedya277
Предмет: Математика,
автор: tigran2015